
Motorsnelheidsregeling Betekent aanpassing hoe snel een motor roteert om aan de exacte behoeften van een taak te voldoen.Het gaat niet alleen om het willekeurig veranderen van snelheid, het gaat erom het gedrag van de motor te matchen met wat het systeem op elk moment vereist.Dit vermogen om snelheid te verfijnen verbetert de energie-efficiëntie, verlengt de levensduur van de apparatuur door mechanische stress te verminderen en zorgt voor een betere nauwkeurigheid van operaties.Een transportband moet bijvoorbeeld mogelijk vertragen voor delicate items of versnellen wanneer de lijn duidelijk is.Elektrische motoren moeten zich vaak aanpassen aan het wijzigen van belastingen, taken of omgevingen.Zonder instelbare snelheid zouden motoren slechts op één vaste snelheid werken, waardoor ze minder nuttig en minder efficiënt zijn.
Snelheid wordt geregeld door de elektrische ingang aan te passen.In AC -motoren betekent dit meestal het veranderen van de frequentie van de voeding.In DC -motoren komen spanningsveranderingen vaker voor.Sommige systemen gebruiken ook feedbacksensoren om de prestaties te bewaken en aanpassingen aan te brengen.Deze feedbacklus helpt de consistente snelheid te behouden, zelfs wanneer de belastingen variëren.Snelheidsregeling varieert van basisweerstanden in oudere systemen tot geavanceerde digitale controllers met behulp van microprocessors en geavanceerde algoritmen.Met deze nieuwere methoden kunnen motoren soepel en precies reageren op veranderende omstandigheden.
AC -motorsnelheid hangt af van twee dingen: de frequentie van de AC -kracht en het aantal polen in de motor.Om snelheid te veranderen, veranderen we de frequentie.Dat is waar variabele frequentieaandrijvingen (VFD's) binnenkomen. Een VFD converteert vaste frequentie AC-vermogen in DC, gladstrijkt het glad en zet het vervolgens terug naar AC met de gewenste frequentie.Hierdoor kan de motorsnelheid met precisie worden aangepast.Door zowel frequentie als spanning te regelen, kunnen VFD's het motorstop en de snelheid efficiënter beheren.

Figuur 2. Blokdiagram van een AC -motorsnelheidscontrolesysteem
Moderne variabele frequentieaandrijvingen (VFD's) gaan verder dan alleen het aanpassen van de motorsnelheid door geavanceerde besturingstechnieken op te nemen zoals vectorregeling, die koppel en flux scheidt voor verfijnde prestaties, en directe koppelregeling (DTC), die snel en precieze koppelaanpassingen biedt.Deze mogelijkheden stellen motoren in staat om ladingen efficiënt te versnellen, te vertragen en te behouden zonder dat extra mechanische componenten of toegevoegde spanning nodig zijn.Functies zoals soft-start-functies, ingebouwde overbelastingsbeveiliging en geavanceerde diagnostiek hebben VFD's belangrijk gemaakt in een breed scala aan toepassingen, van waterzuiveringsinstallaties tot liftsystemen.
DC -motoren worden vaak gekozen wanneer snelle, nauwkeurige snelheidsveranderingen nodig zijn.Hun snelheid verandert rechtstreeks met de spanning die op het anker wordt toegepast.Belasting beïnvloedt ook de snelheid, de verhoogde belasting vertraagt meestal de motor.De meest efficiënte methode van vandaag is PWM.Het maakt gebruik van hoogfrequente spanningspulsen met instelbare breedtes om de gemiddelde spanning aan de motor te regelen.Dit maakt precieze snelheidsregeling mogelijk met lage vermogensverlies.

Figuur 3. Blokdiagram van een DC -motorsnelheidscontrolesysteem
Andere besturingsmethoden omvatten veldregeling, waarbij het aanpassen van de stroom in het magnetische veld de motorsnelheid verandert, het verminderen van het veld verhoogt de snelheid maar vermindert het koppel;Reserveerweerstandsregeling, een eenvoudige maar inefficiënte methode die weerstand toevoegt om spanning en snelheid te verminderen;en gesloten-lusregeling, die sensoren gebruikt om snelheid te controleren en de spanning of stroom automatisch aan te passen om consistente prestaties onder verschillende belastingen te behouden.Vanwege hun hoge precisie en reactievermogen worden DC-motoren vaak gebruikt in robotica, medische apparatuur en gereedschap op batterijen.
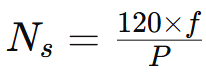
AC -motorsnelheidscontroletechnieken zijn gebaseerd op de formule voor synchrone snelheid:

Waar:
• NS is synchrone snelheid (in RPM)
• F is frequentie van de AC -voeding (in Hz)
• P is het aantal polen van de motor
Door de voedingsfrequentie te variëren, kan de motorsnelheid worden aangepast, die wordt bereikt met behulp van variabele frequentieaandrijvingen (VFD's).Er zijn twee hoofdtypen VFD-regeling: scalaire (v/f) regeling, die een constante spanning-tot-frequentieverhouding onderhoudt en eenvoudig en stabiel is voor basistoepassingen;en vectorregeling, die koppel- en magnetische fluxcomponenten scheidt om meer precieze en responsieve controle mogelijk te maken, vooral bij lage snelheden.Meer geavanceerde systemen bevatten sensorloze controle, waarbij de motorische positie wordt geschat zonder fysieke sensoren.Bovendien ondersteunen VFDS -functies zoals gecontroleerde versnelling (helling), koppelbeperking en remmen, waardoor ze zeer geschikt zijn voor veeleisende toepassingen zoals liften, kranen en CNC -machines.
DC -motorsnelheid wordt beheerst door de relatie,

Waar:
• V is ankerspanning
• Ia is de armatuurstroom
• RA is de ankerweerstand
• φ is magnetische flux
Onder verschillende snelheidscontroletechnieken blijft pulsbreedtemodulatie (PWM) het meest effectief vanwege de efficiëntie en responsiviteit.Andere methoden omvatten fluxverzwakking, die de snelheid verhoogt door de magnetische veldsterkte te verminderen die geschikt is in situaties waarin een lager koppel acceptabel is;Reserveerweerstandsregeling, wat eenvoudiger maar minder efficiënt is vanwege energieverliezen;en gesloten-luscontrole met feedback, die sensoren zoals encoders of tachogenerators gebruikt om precieze en adaptieve snelheidsregulering te bieden.
Spanningsregeling: Deze methode vertraagt de motor door de voedingsspanning op de statorwikkelingen te verminderen.Naarmate de spanning daalt, neemt de magnetische veldsterkte af, wat resulteert in een lager koppel en snelheid.Hoewel de eenvoud van deze methode het aantrekkelijk maakt voor basistoepassingen, vooral met ventilator- of pompbelastingen, is deze over het algemeen inefficiënt omdat de motor een hoge stroom blijft trekken, zelfs bij verminderde snelheden, wat leidt tot verhoogde warmte- en energieverliezen.Het is gereserveerd voor lichte bewerkingen waar precieze controle niet vereist is.
Frequentiecontrole (VFDS): Variabele frequentieaandrijvingen (VFD's) Pas zowel de spanning als de frequentie aan die aan de motor worden geleverd, waardoor nauwkeurige en efficiënte controle van snelheid en koppel mogelijk is.Door een constante volt-per-Hertz-verhouding te handhaven, behouden VFD's de magnetische balans van de motor en de koppelkarakteristieken over een breedsnelheidsbereik.Deze methode wordt veel gebruikt in moderne industriële en commerciële toepassingen vanwege zijn energie -efficiëntie, aanpassingsvermogen en het vermogen om verschillende belastingsomstandigheden soepel te verwerken.
Paal veranderen: Sommige inductiemotoren van de eekhoornkooi zijn ontworpen met statorwikkelingen die opnieuw kunnen worden geconfigureerd om het aantal magnetische polen te veranderen.Door het aantal palen te wijzigen, verandert de synchrone snelheid van de motorveranderingen in afzonderlijke stappen (bijvoorbeeld van 2-polige tot 4-polige werking), waardoor de motor met verschillende vaste snelheden kan worden uitgevoerd.Deze methode biedt een eenvoudige en robuuste manier om multi-snelheidsregeling te bereiken zonder externe elektronica te vereisen, hoewel deze beperkt is tot vooraf gedefinieerde snelheidsinstellingen en geen soepele variabiliteit heeft.
Externe rotorweerstand : Deze techniek omvat het toevoegen van variabele weerstanden aan het rotorcircuit via slipringen en borstels.Door de rotorweerstand te vergroten, wordt de slip verhoogd, wat de rotorsnelheid verlaagt en een betere koppelregeling biedt, nuttig tijdens het opstarten of voor belastingen die variabel koppel vereisen.Een deel van de elektrische energie wordt echter gedissipeerd als warmte in de externe weerstanden, waardoor de methode inefficiënt is voor continu gebruik.
Cascaderegeling: In deze opstelling zijn twee motoren mechanisch gekoppeld en is één motor (de secundaire of hulpmotor) elektrisch verbonden met het rotorcircuit van de hoofdmotor (primaire).Deze opstelling maakt stroomuitwisseling en snelheidsregeling mogelijk in vaste stappen, afhankelijk van het ontwerp van de elektrische en mechanische link.Hoewel relatief complex en minder gebruikelijk in moderne systemen, was Cascade Control een effectieve manier om grote belastingen en tussenliggende snelheden in legacy industriële machines te beheren.
EMF -injectie: Electromotive Force (EMF) -injectie, gebruikt in systemen zoals Kramer en Scherbius -schijven, omvat het injecteren van een gecontroleerde spanning van specifieke frequentie en fase in het rotorcircuit.Dit verandert de slipfrequentie van de rotor en maakt werking van variabele snelheid mogelijk met een betere efficiëntie dan weerstandsmethoden.Deze schijven zijn goed geschikt voor krachtige toepassingen waar precieze snelheidsregulering en energieherstel belangrijk zijn, zoals in grote compressoren, pompen of molens.
Veldbesturing: Deze methode omvat het invoegen van een variabele weerstand in serie met de veldwikkeling van een DC -shuntmotor.Door de weerstand te vergroten, neemt de stroom door het veldwikkeling af, wat de magnetische flux verzwakt.Volgens de snelheidsvergelijking van een DC -motor leidt een vermindering van flux tot een toename van de snelheid, uitgaande van een constante ankerspanning.Veldregeling is relatief efficiënt om de snelheid boven de nominale waarde te verhogen.Aangezien het verzwakken van het veld echter ook het koppel vermindert en instabiliteit of te hoge snelheid kan veroorzaken, moet deze methode met zorg worden toegepast en vereist vaak beschermende maatregelen.
Arminspanningsregeling: In deze methode is de aan het anker geleverde spanning direct gevarieerd terwijl de veldflux constant wordt gehouden.Het verlagen van de ankerspanning vermindert de snelheid en het koppel evenredig.Deze techniek is eenvoudig om te implementeren en maakt een soepele controle mogelijk onder de nominale snelheid.Het is echter minder energiezuinig, vooral onder belasting, omdat overtollige energie vaak wordt gedissipeerd als warmte in controleweerstanden of in stroomelektronica.
Ward-Leonard-systeem: Dit klassieke besturingssysteem maakt gebruik van een motorgenerator (M-G) set, waarbij een variabele spanning wordt geproduceerd door de uitgang van een DC-generator te regelen aangedreven door een AC- of DC-motor.De gegenereerde spanning wordt gevoerd aan het anker van de shuntmotor, waardoor fijne en continue controle over een breedsnelheidsbereik in beide richtingen mogelijk is.Hoewel kostbaar en omvangrijk, levert het Ward-Leonard-systeem uitstekende prestaties op in termen van koppelregeling en snelheidsregelgeving, waardoor het ideaal is voor het veeleisen van toepassingen zoals lifttakels, rollen en drukpersen.
Diverter: Een weerstand (Diverter) is parallel verbonden met het seriesveldwikkeling.Hierdoor kan een deel van de stroom het veldwikkeling omzeilen, de magnetische flux verzwakken en de motorsnelheid verhogen.Deze methode biedt een basisvorm van snelheidsregeling en nuttig in toepassingen zoals tractie waar tijdelijke snelheidsboosts vereist zijn.Het vermindert echter het koppel en moet echter zorgvuldig in evenwicht zijn om instabiliteit of motoroververhitting te voorkomen.
Armature Diverter : Door een weerstand parallel met het ankercircuit te plaatsen, kan de stroomverdeling tussen het anker en het veld worden gewijzigd.Deze aanpassing verandert de koppel-snelheidskenmerken van de motor.Het is een meer genuanceerde methode dan veldafleiders, waardoor een betere controle over het koppel mogelijk is, maar het introduceert complexiteit en vereist zorgvuldige afstemming om prestatieverliezen of schade te voorkomen.
Tikte op het veld en hergroeperen: Deze methode wijzigt de magnetische veldsterkte door het aantal actieve bochten in het veldwikkeling te wijzigen.Door tikken op de wikkeling te gebruiken of de verbindingen te herschikken (hergroeperen), kunnen verschillende magnetische configuraties worden geselecteerd om de snelheidstorque-curve te verschuiven.Het biedt stappen met een vaste snelheid en wordt vaak gebruikt in apparatuur waar voorspelbare snelheidsveranderingen voldoende zijn, zoals kranen of takels.
Resistieve controle: Een basismethode waarbij externe weerstanden in serie worden toegevoegd met de motor om spanning te laten vallen en de snelheid te verminderen.Hoewel eenvoudig en goedkoop, is deze methode zeer inefficiënt omdat veel van de elektrische energie verloren gaat als warmte.Het wordt over het algemeen alleen gebruikt in goedkope of oudere systemen waar efficiëntie geen primaire zorg is.
Serie-parallelle controle: In deze techniek zijn twee of meer serie motoren verbonden in serie of parallel.In serie delen ze dezelfde stroom en werken ze op een lagere snelheid met een hoger koppel;Tegelijkertijd werken ze op hogere snelheid met een verminderd koppel.Deze bedieningsmethode maakt stapveranderingen in snelheid mogelijk en wordt vaak aangetroffen in elektrische tractiesystemen zoals trams en treinen, waar eenvoudige en betrouwbare snelheidsregeling nodig is.
Industrie
In industriële omgevingen speelt AC -motorsnelheidsregeling een rol bij het optimaliseren van processen met transportbanden, mixers, pompen en andere mechanische systemen.Door de motorsnelheid nauwkeurig te reguleren met behulp van apparaten zoals variabele frequentiedrives (VFD's), kunnen bewerkingen worden afgestemd op specifieke productie -eisen, wat leidt tot verbeterde procesnauwkeurigheid, verminderde mechanische stress en energiebesparingen.Bijvoorbeeld, het vertragen van een transportband tijdens productinspectie of het voorzichtig opzetten van een mixer vermindert de slijtage en verbetert de veiligheid.Deze flexibiliteit verbetert de algehele efficiëntie en verlengt de levensduur van machines.
HVAC
Verwarmings-, ventilatie- en airconditioning (HVAC) -systemen profiteren sterk van snelheidsgestuurde motoren in fans, blowers en compressoren.Door de motorsnelheid aan te passen in reactie op omgevingscondities en systeemvereisten, wordt het energieverbruik verminderd, met name in variabele belastingssituaties zoals temperatuurschommelingen of bezettingsveranderingen.VFD's zorgen voor zachte start- en verfijnde modulatie van luchtstroom- en koelcycli, wat leidt tot stillere werking, verbeterd comfort en lagere operationele kosten in zowel residentiële als commerciële gebouwen.
Thuisapparaat
Moderne huishoudelijke apparaten zoals wasmachines, koelkasten en vaatwassers gebruiken in toenemende mate snelheidsgestuurde AC-motoren om de prestaties en energie-efficiëntie te verbeteren.Variabele snelheidsmotoren in wasmachines maken bijvoorbeeld verschillende wascycli met geoptimaliseerde agitatie en spinsnelheden mogelijk, waardoor ruis en trillingen worden verminderd.In koelkasten kunnen compressoren met snelheidsregeling de koelcycli soepeler aanpassen, waardoor consistente temperaturen met minder energieverbruik worden gehandhaafd.
Slimme infrastructuur
In slimme gebouwen en transportsystemen is AC -motorsnelheidsregeling integraal op het beheren van liften, roltrappen, bewegende loopbruggen en geautomatiseerde deuren.Deze systemen gebruiken vaak intelligente motorcontrollers die samenwerken met bouwbeheersystemen (BMS) of IoT -netwerken om controle, diagnostiek en energiebewaking te bieden.Liften kunnen bijvoorbeeld de versnellings- en vertragingsprofielen aanpassen op basis van de belasting van passagiers of de vraag naar vloer, het verbeteren van het rijcomfort en het energieverbruik.Escalatoren kunnen vertragen of pauzeren wanneer ze niet in gebruik zijn, waardoor het stationaire stroomverbruik wordt verminderd en zich afgestemd maakt op duurzaamheidsdoelen in het moderne infrastructuurontwerp.
Robotica
DC -motoren worden op grote schaal gebruikt in robotica vanwege hun vermogen om snelle respons en precieze snelheid en positiecontrole te bieden.Met behulp van pulsbreedtemodulatie (PWM) en feedbacksystemen zoals encoders kunnen robotsystemen fijnkorrelige beweging bereiken die nodig zijn voor taken zoals objectmanipulatie, navigatie en coördinatie.Deze responsiviteit is belangrijk in toepassingen, variërend van industriële robotarmen tot autonome mobiele robots.
Elektrische voertuigen
In elektrische voertuigen (EV's) is de DC -motortapientregeling goed voor soepele versnelling, vertraging en algemene aandrijfprestaties.Door de spanning en stroom aan de motor aan te passen, kunnen voertuigen naadloos overgaan tussen verschillende snelheids- en koppelniveaus, waardoor het rijcomfort en de controle worden verbeterd.Regeneratieve remsystemen gebruiken gecontroleerde DC -motorbewerking om kinetische energie terug te zetten in elektrische energie tijdens het remmen, de algehele efficiëntie te verbeteren en de levensduur van de batterij te verlengen.Deze functies maken DC-motoren ideaal voor zowel tweewiel- als vierwielige elektrische transportsystemen.
Consumentenapparaten
DC -motoren vormen de kern van veel compacte en draagbare consumentenapparaten, waaronder elektrische gereedschappen, haardrogers, fans van computerkoeling en kleine keukenapparatuur.Snelheidsregeling in deze toepassingen zorgt voor een optimale prestaties, veiligheid en energie -efficiëntie.Bij stroomoefeningen kunnen bijvoorbeeld triggers met variabele snelheid het koppel en snelheid voor verschillende materialen aanpassen, terwijl bij fans de snelheidsvariatie beter comfort- en geluidsregeling biedt.Compact ontwerp en gemak van elektronische bediening maken DC-motoren geschikt voor apparaten op batterijen.
Medical & Lab -apparatuur
Medische en laboratoriuminstrumenten vereisen zeer gecontroleerde, stille en betrouwbare motorische werking.DC -motoren met precieze snelheidsregeling worden gebruikt in apparatuur zoals infusiepompen, centrifuges, chirurgisch gereedschap en geautomatiseerde analysatoren.Deze toepassingen vereisen stille werking om verstorende gevoelige omgevingen te voorkomen, samen met nauwkeurige bewegingscontrole voor precieze levering of meting van vloeistoffen, monsters of chirurgische bewegingen.Borstelloze DC -motoren (BLDC's) hebben de voorkeur voor hun lage ruis, onderhoudsarme en consistente prestaties.
|
Functie |
AC -motor |
DC -motor |
|
Stroombron |
Gebruikt een wisselstroom (AC) |
Gebruikt directe stroom (DC) |
|
Hoe snelheid wordt geregeld |
Snelheidsveranderingen door de frequentie aan te passen met een variabele
Frequency Drive (VFD) |
Snelheidsveranderingen door spanning of veldstroom aan te passen |
|
Controle complexiteit |
Complexer: heeft soms VFD's, vectorcontrole nodig
sensoren |
Eenvoudiger: gebruikt spanningswijzigingen, PWM of veldregeling |
|
Reactietijd |
Langzamer antwoord als gevolg van VFD -vertraging |
Snelle reactie, vooral met digitale controle |
|
Start koppel |
Laag zonder speciale besturingsmethoden |
Standaard met een hoog startkoppel |
|
Koppel met verschillende snelheden |
Koppel kan met lage snelheden dalen |
Handhaaft een sterk koppel met alle snelheden |
|
Snelheidsstabiliteit |
Goed met gesloten-loopsystemen;minder stabiel zonder |
Uitstekende controle en stabiliteit over alle snelheden |
|
Snelheidsbereik |
Beperkt door het drive- en motorontwerp |
Breed bereik van zeer lage tot hoge snelheden |
|
Onderhoudsbehoeften |
Laag: geen borstels of commutators |
Hoger: borstels slijten tenzij borstelloos |
|
Duurzaamheid in harde omgevingen |
Meer robuust en beter voor zware omstandigheden |
Geborstelde motoren zijn minder duurzaam in ruwe omgevingen |
|
Warmteafhandeling |
Vaak gebouwd met koelsystemen |
Kan oververhit raken, zo niet goed afgekoeld |
|
Ruis en interferentie (EMI) |
Kan elektrische ruis (EMI) produceren;moet worden filteren |
Geborstelde motoren maken lawaai;borstelloos zijn stiller |
|
Voedingsbehoeften |
Werkt rechtstreeks met AC -netwerk (bijv. 120V of 240V) |
Heeft DC -levering of converter van AC nodig |
|
Omkeringrichting |
Vereist programmeren in VFD |
Eenvoudig: keer de polariteit om of gebruik een H-brug |
|
Regeneratief remmen |
Ingewikkeld en duur om op te zetten |
Gemakkelijk en efficiënt, gebruikt in EV's en robotica |
|
Energieherstel |
Mogelijk met geavanceerde VFD's |
Ondersteunt natuurlijk het herstel van energie |
|
Integratie van digitale besturingselement |
Verbindt met systemen zoals PLC's via de VFD |
Gemakkelijk te bedienen door microcontrollers |
|
Efficiëntie
|
Zeer efficiënt bij gestage snelheden |
Zeer efficiënt met variabele snelheid of frequent
Start/stopt |
|
Grootte van het besturingssysteem |
VFD's kunnen groot zijn en moeten worden gekoeld |
DC -controllers zijn klein en gemakkelijk te installeren |
Het regelen van de motorsnelheid is erg belangrijk in de huidige machines en apparaten.Het helpt energie te besparen, maakt machines langer meegaan en houdt ze soepel verlopen.AC -motoren gebruiken vaak VFD's om snelheid te wijzigen door de frequentie van het vermogen aan te passen.DC-motoren veranderen snelheid door de spanning aan te passen of snelle aan-off signalen (PWM) te gebruiken.Deze methoden laten machines hun werk beter doen, of het nu een grote fabrieksmachine, een airconditioner of een robotarm is.AC-motoren zijn geweldig voor zware banen en langdurig gebruik, terwijl DC-motoren beter zijn wanneer snelle en nauwkeurige beweging nodig is.Door de juiste snelheidscontrolemethode te gebruiken, zorgen we ervoor dat machines veilig, efficiënt werken en precies hoe we ze nodig hebben.
Stuur een aanvraag, we zullen onmiddellijk reageren.
Vermogen hangt meer af van motorontwerp dan het type (AC of DC).Voor dezelfde grootte en spanningsclassificatie zijn AC-motoren echter krachtiger omdat ze hogere belastingen kunnen verwerken en zijn gebouwd voor continu, zwaar gebruik.Industriële AC-motoren zoals driefasige inductiemotoren komen veel voor in fabrieken omdat ze grote machines betrouwbaar kunnen aandrijven.Aan de andere kant bieden DC-motoren een precieze snelheid en koppelregeling, maar ze worden meestal gebruikt in kleinere, meer gespecialiseerde toepassingen zoals robotica, waar verfijnde beweging belangrijker is dan ruwe kracht.
DC -motoren bereiken meestal hogere RPM's (omwentelingen per minuut) dan AC -motoren, vooral kleine permanente magneet of borstelloze DC -motoren.Dat komt omdat DC -motoren niet afhankelijk zijn van de frequentie van de stroomlijn en sneller kunnen draaien door alleen de spanning te vergroten.AC -motorsnelheid is echter gekoppeld aan de invoerfrequentie en het aantal polen, dus het is beperkter tenzij geavanceerde VFD's worden gebruikt.DC-motoren worden vaak gebruikt waar snelle prestaties nodig zijn, zoals in elektrisch gereedschap, drones of medische hulpmiddelen.
Niet altijd.AC-motoren gaan langer mee in zware omgevingen.Dit komt omdat de meeste AC -motoren, met name inductietypen, minder bewegende delen en geen borstels hebben, wat in de loop van de tijd minder slijtage betekent.Geborstelde DC -motoren verslijten sneller vanwege wrijving tussen borstels en de commutator.Borstelloze DC-motoren (BLDC's) hebben echter een lange levensduur vergelijkbaar met AC-motoren en zijn zeer betrouwbaar in low-power of precisie-apparaten.Het hangt dus af van het type DC -motor en hoe het wordt gebruikt.
AC -motoren kunnen moeilijker te regelen zijn, omdat het wijzigen van hun snelheid complexe apparaten zoals VFD's vereist.Ze reageren ook niet zo snel om signalen te besturen, waardoor ze minder ideaal zijn voor taken die snelle snelheidswijzigingen nodig hebben.DC -motoren, vooral geborsteld, vereisen meer onderhoud vanwege borstelslijtage.Ze kunnen ook minder efficiënt zijn bij hoge vermogensniveaus en hebben elektronische controllers zoals PWM -circuits nodig voor snelheidsregeling.Bovendien kunnen ze vaak niet aan grote ladingen en AC -motoren aankunnen zonder omvangrijk of oververhit te worden.
Voor AC -motoren worden variabele frequentieaandrijvingen (VFD's) gebruikt om snelheid te wijzigen door de frequentie en spanning van de voeding aan te passen.Voor DC -motoren is pulsbreedtemodulatie (PWM) de meest voorkomende methode, waarbij snelheid wordt aangepast door snel spanning in- en uit te schakelen om de stroomafgifte te regelen.In beide gevallen kunnen gesloten-luscontrolesystemen worden toegevoegd met behulp van sensoren om de motorsnelheid te controleren en automatisch aan te passen, waardoor consistente en precieze werking wordt aangeboden voor verschillende belastingen.
Op 2025/05/21
Op 2025/05/20
Op 8000/04/18 147757
Op 2000/04/18 111936
Op 1600/04/18 111349
Op 0400/04/18 83721
Op 1970/01/1 79508
Op 1970/01/1 66907
Op 1970/01/1 63039
Op 1970/01/1 63012
Op 1970/01/1 54081
Op 1970/01/1 52125