
Figuur 1: Condensatorcircuit
In elektrische circuits, Condensatoren Dien een doel voor het opslaan en ontladen van elektrische lading.Ze hebben twee geleidende platen gescheiden door een isolerend diëlektricum.Hun vermogen om lading vast te houden wordt gemeten in Farads.

Figuur 2: condensator
Condensatoren kunnen in serie of parallel worden aangesloten.In serie verminderen meer condensatoren de algehele capaciteit, nuttig voor het bereiken van een lagere capaciteit.Tegelijkertijd verhogen meer condensatoren de totale capaciteit, ideaal voor hoge capaciteit in kleine ruimtes, zoals voedingsfilters.Het diëlektrische materiaal beïnvloedt de prestaties van een condensator en het bepalen van maximale lading, afbraakspanning en circuitfrequentierespons.Geavanceerde condensatoren gebruiken materialen zoals keramiek, tantalum of polymeerelektrolyten voor hogere capaciteit, temperatuurstabiliteit en lage lekkage.

Figuur 3: condensator
Hier is een eenvoudige uitleg van hun eigenschappen en hoe deze configuraties kunnen worden geregeld om de gewenste capaciteit te krijgen.

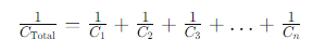
Figuur 4: Capaciteitsreeks
Wanneer u condensatoren in serie verbindt, wordt de algehele capaciteit kleiner.Dit gebeurt omdat de lading door meer materiaal moet reizen, waardoor het moeilijker is om opladen op te slaan.De totale capaciteit (1/ctotaal) is de som van de wederkeringen van elke individuele condensator (1/c1 + 1/c2 + ... + 1/cN).De algehele capaciteit is altijd minder dan de kleinste condensator in de serie.De formule voor het berekenen van de totale capaciteit in serie is:

Circuitontwerpers moeten rekening houden met deze functie bij het kiezen van condensatoren om aan specifieke capaciteitseisen te voldoen.Praktische beperkingen zoals ruimte- en applicatiebehoeften kunnen het aantal condensatoren in serie beperken, en variërende spanningsverdelingen kunnen complexiteit toevoegen tenzij condensatoren identiek zijn.

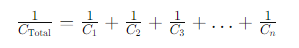
Figuur 5: Capaciteit parallel
Wanneer condensatoren parallel zijn aangesloten, neemt de totale capaciteit toe.Dit komt omdat het gecombineerde oppervlak van alle condensatoren ervoor zorgt dat meer lading op dezelfde spanning kan worden opgeslagen.De totale capaciteit (ctotaal) is de som van de capaciteiten van elke condensator (c1 + C2 + ... + cN).De algehele capaciteit zal groter zijn dan de grootste condensator.De formule voor het parallel berekenen van de totale capaciteit is:

Hoewel, een onbeperkt aantal condensatoren kan parallel worden aangesloten, beperken praktische beperkingen zoals fysieke ruimte, circuitdoeleinden en ontwerpbeperkingen vaak het aantal beperken.Hoogwaardige condensatoren met geschikte spanningsbeoordelingen en toleranties zijn goed voor betrouwbare circuitprestaties.Deze formule maakt nauwkeurige controle over capaciteitswaarden mogelijk, waardoor ontwerpers circuitgedrag, energie -efficiëntie en prestaties kunnen optimaliseren, waardoor het een hoeksteen is van elektronica en elektrotechniek.

Figuur 6: Serie en parallel
Een serie condensatorcircuit bevat condensatoren die opeenvolgend langs hetzelfde pad zijn gekoppeld, waardoor identieke ladingen of stromen door elke component worden doorkruist.Het garandeert een uniforme stroom over de condensatoren, een fundamenteel aspect voor het begrijpen van het gedrag van dergelijke circuits.

Figuur 7: Serie condensatorcircuit
In een serie -opstelling moet elke condensator dezelfde lading verwerken.Wanneer een DC -spanningsbron wordt toegepast, bepaalt de serieverbinding dat de herverdeling langs de condensatoren in rekening brengt om dit evenwicht te behouden.Als bijvoorbeeld een spanningsbron is aangesloten op condensatoren C1, C2en c3 Met waarden 2f, 4F en 6f respectievelijk vindt het volgende plaats:
• De rechterkant van C3 wordt positief geladen vanwege de aantrekkingskracht van elektronen naar de positieve terminal van de batterij.
• Dit tekort aan elektronen op C3's rechter plaat veroorzaakt een soortgelijk tekort op C2's rechterplaat en opeenvolgend effect treedt op op C1.
• Deze kettingreactie over de condensatoren zorgt voor uniforme ladingsverdeling.
Voorbeeld:
Gezien de capaciteiten c1= 2f, c2= 4f, c3= 6f en een DC -spanning van 10V, kunnen we de lading- en spanningsverdeling bepalen:


Figuur 8: Sample Series
Het berekenen van CTotale levert ongeveer 0,92F op.
Q = C × V gebruiken, waarbij Q de lading is en V de spanning is:

Aldus heeft elke condensator een lading van 9,2 ° C.
Spanning over elke condensator wordt gevonden met behulp van V = CQ:

De som van individuele spanningen, v1+V2+V3, moet gelijk zijn aan de bronspanning (10V).Hier berekent het tot ongeveer 8.43V, wat een mogelijke afrondings- of berekeningsfout aangeeft in onze initiële schattingen of veronderstellingen.
Een parallel condensatorcircuit is een elektronische opstelling waarbij condensatoren naast elkaar worden aangesloten op gemeenschappelijke punten, waardoor elk onafhankelijk onder dezelfde spanning kan werken.Dit verschilt van seriecircuits, waarbij condensatoren een lading delen.

Figuur 9: Parallel condensatorcircuit
In een parallel is de spanning over elke condensator hetzelfde.De lading die elke condensator -winkels niet varieert op basis van de capaciteit.Een hogere capaciteit betekent dat een condensator meer lading kan opslaan.Als we bijvoorbeeld condensatoren van 8 Farads (F) en 4F hebben, zal de 8F -condensator meer lading opslaan dan de 4F -condensator wanneer beide onder dezelfde spanning staan.
Een belangrijk voordeel van parallelle condensatoren is de toename van de totale capaciteit.In tegenstelling tot seriecircuits, waarbij de totale capaciteit minder is dan elke individuele condensator, is de totale capaciteit parallel de som van alle individuele capaciteiten.Dit gebeurt omdat het plaatgebied effectief toeneemt zonder de afstand tussen hen te veranderen, waardoor het vermogen van het circuit om lading op te slaan, wordt verbeterd.
Voorbeeld:

Figuur 10: Parallel monster
Overweeg een circuit met drie condensatoren die parallel zijn aangesloten op een 10V DC -stroombron.De condensatoren hebben deze capaciteiten: C1 = 8f, c2 = 4f en c3 = 2f.Elke condensator ervaart dezelfde 10V, maar slaat verschillende ladingen op op basis van hun capaciteit:
Condensator C1: Met 8F slaat het een lading op van 80 Coulombs (C), berekend als Q = C × V, dat 8F × 10V = 80C is.
Condensator C2: Met 4F slaat het een lading van 40C op, berekend als 4F × 10V = 40C.
Condensator C3: Met 2F slaat het een lading van 20 ° C op, berekend als 2f × 10V = 20c.
De totale lading in het circuit is de som van alle kosten: QT= Q1+Q2+Q3= 80c+40c+20c = 140c
Deze toevoeging laat zien hoe een parallel condensatorcircuit ladingopslag verbetert door de capaciteit van individuele condensatoren te combineren.Een parallel condensatorcircuit verhoogt de totale capaciteit en ladingopslagcapaciteit, waarbij elke condensator dezelfde spanning ervaart.
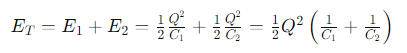
Om te begrijpen hoe energie wordt opgeslagen in condensatoren die in serie of parallel worden gerangschikt, beginnen we met de basisformule voor de energie die is opgeslagen in een enkele condensator:

Hier, uC Is de energie in joules, Q is de lading in Coulombs en C is de capaciteit in Farads.
Overweeg voor condensatoren in serie twee condensatoren met capaciteiten C1 en C2.De relatie tussen lading en spanning voor elke condensator wordt gegeven door C = VQ.In een serieconfiguratie bevindt zich dezelfde lading Q op elke condensator:

De totale energie die in het systeem is opgeslagen, is de som van de individuele energieën:

Dit laat zien dat de effectieve capaciteit van serie -condensatoren de wederzijdse som is van de individuele capaciteiten, die de totale capaciteit vermindert en de energieopslag verandert in vergelijking met enkele of parallelle configuraties.
Voor condensatoren parallel heeft elke condensator dezelfde spanning erover.De energie voor elk kan worden uitgedrukt met behulp van de op spanning gebaseerde formule:

Als twee condensatoren C1 en c2 parallel zijn en dezelfde spanning v hebben, hun totale energieopslag is:

Deze berekening laat zien dat de totale capaciteit voor parallelle condensatoren de som is van de individuele capaciteiten, die de totale opgeslagen energie verhoogt in vergelijking met individuele of serieconfiguraties.
Het gebruik van condensatoren in serie biedt enkele voordelen, waaronder een verhoogde totale werkspanning.Deze configuratie zorgt ook voor effectievere spanningsbalancering, vooral wanneer hoogwaardige weerstanden (ongeveer 100 kΩ of hoger) over elke condensator worden geplaatst om een meer gelijkmatige spanningsverdeling te garanderen.
Het gebruik van condensatoren in serie wordt geleverd met nadelen, inclusief de kwestie van ongelijke spanningsuitwisseling.Variaties in lekstromen, met name bij elektrolytische condensatoren, kunnen ertoe leiden dat een condensator overspanning ervaart, wat kan leiden tot schade.Kleine verschillen in productie- of verouderingssnelheden dragen ook bij aan variaties in lekstroom, wat de spanningsverdeling beïnvloedt.De lekstroom in elektrolytische condensatoren neemt in de loop van de tijd toe, vooral als ze niet regelmatig worden gebruikt.Zelfs met evenwichtsweerstanden op hun plaats, moet het een marge achterlaten in de werkspanning, met name voor elektrolytische condensatoren, om een betrouwbare werking te garanderen.
Verhoogde energieopslag: verbindingscondensatoren in parallelle winkels meer energie dan wanneer ze in serie zijn, omdat hun totale capaciteit de som is van alle individuele condensatoren.
Betere spanningsbalans: parallelle condensatorbanken bereiken een beter spanningsaldo met minder evenwichtsweerstanden, waardoor de kosten en vermogensverliezen worden verlaagd.
Kostenefficiëntie: minder evenwichtsweerstanden in parallelle verbindingen besparen geld en vereenvoudig het systeem.
Spanningsbeperking: in een parallel circuit delen alle condensatoren dezelfde spanning.De maximale spanning wordt beperkt door de laagst gewaardeerde condensator.Als een condensator bijvoorbeeld wordt beoordeeld op 200V en andere op 500V, kan het hele systeem alleen 200V aan.
Veiligheidsrisico's: parallelle condensatoren bewaren en geven snel grote hoeveelheden energie op, wat gevaarlijk kan zijn als er een kortsluiting is, mogelijk ernstige schade en verwondingen veroorzaken.
Systeemfoutrisico: in complexe lay -outs, als de ene condensator faalt, moeten de anderen de volledige spanning afhandelen, wat leidt tot een potentieel falen van het hele systeem.Dit risico is lager in serieverbindingen waarbij het falen van de ene condensator geen invloed heeft op de andere.
Deze gedetailleerde blik op condensatoren helpt ons om hun functies en de belangrijke overwegingen voor het gebruik ervan in moderne elektronica te begrijpen.Serie -instellingen verhogen de werkspanning en beheren de spanningsverdeling maar verminderen de capaciteit en vergroten de gevoeligheid voor variaties.Parallelle opstellingen stimuleren de totale capaciteit en energieopslag, wat goed is voor energiebeheer in kleine ruimtes, maar ze kunnen riskant zijn als een condensator faalt.Het kiezen tussen series en parallelle configuraties hangt af van specifieke technische behoeften, evenwichtsruimte, kosten en prestaties.De theoretische en praktische inzichten benadrukken zorgvuldige condensatorselectie en circuitontwerp om betrouwbare en efficiënte elektrische systemen te garanderen.
Serie -condensatoren worden voornamelijk gebruikt om de impedantie van een circuit bij hogere frequenties te verminderen, wat de stroomoverdracht over lange afstanden verbetert en de spanningsregeling verbetert.Wanneer condensatoren in serie zijn aangesloten, neemt de totale capaciteit af.Deze configuratie dwingt dezelfde lading om alle condensatoren te passeren, wat resulteert in een verdeling van de totale spanning over elke condensator volgens de capaciteitswaarde.Dit kenmerk is met name nuttig in toepassingen zoals signaalkoppeling en filtering, waarbij het doel is om de directe stroom (DC) te blokkeren en tegelijkertijd een wisselstroom (AC) te laten passeren.
Serie-condensatoren worden gebruikt wanneer er behoefte is om de impedantie van een circuit aan te passen, met name in hoogfrequente toepassingen.Ze worden ook gebruikt om spanningsdeling in een circuit te bereiken.In vermogenssystemen worden serie -condensatoren gebruikt om de capaciteit van stroomtransmissielijnen te vergroten door te compenseren voor inductieve reactantie in lange transmissielijnen, waardoor meer stroom onder dezelfde spanningsomstandigheden kan stromen.
Twee condensatoren zijn in serie als ze end-to-end zijn aangesloten, met de positieve terminal van de ene verbonden met de negatieve terminal van de andere, en er zijn slechts twee verbindingspunten met andere circuitcomponenten.Deze opstelling zorgt ervoor dat de lading- en ontladingsstroom die erdoorheen stroomt hetzelfde is.De totale capaciteit kan ook worden berekend om dit te bevestigen;Voor serie -condensatoren is de wederkerige van de totale capaciteit de som van de wederkeringen van de individuele capaciteiten.
Wanneer condensatoren parallel zijn aangesloten, neemt de totale capaciteit van het circuit toe.Met deze configuratie kan elke condensator dezelfde spanning vasthouden, wat leidt tot een accumulatie van ladingscapaciteit over de condensatoren.Parallelle condensatoren worden vaak gebruikt om spanning te stabiliseren en meer lading op te slaan in systemen waar een hogere capaciteit nodig is zonder de spanningsclassificatie van individuele condensatoren te verhogen.
De configuratie zelf verhoogt de oorspronkelijke voedingsspanning niet;De spanningsverdeling in het circuit varieert echter.In een serieconfiguratie is de spanning verdeeld over de condensatoren, afhankelijk van hun individuele capaciteiten.In een parallelle configuratie daarentegen blijft de spanning over elke condensator hetzelfde als de voedingsspanning.
Ja, in een parallel circuit is de spanning over elke condensator dezelfde en gelijk aan de totale spanning die aan het circuit wordt geleverd.Deze uniforme spanningsverdeling maakt parallelle condensatoren ideaal voor toepassingen die consistente spanning nodig hebben over meerdere componenten.
Stuur een aanvraag, we zullen onmiddellijk reageren.
Op 2024/06/11
Op 2024/06/11
Op 8000/04/18 147757
Op 2000/04/18 111934
Op 1600/04/18 111349
Op 0400/04/18 83719
Op 1970/01/1 79508
Op 1970/01/1 66895
Op 1970/01/1 63010
Op 1970/01/1 63002
Op 1970/01/1 54081
Op 1970/01/1 52118