
Figuur 1: Stroomverhoudingen in circuits
In parallelle circuits splitsen de huidige splitsing tussen verschillende takken op basis van de weerstand van elke tak.Dit concept lijkt op spanningsverdeling, maar is in plaats daarvan van toepassing op stromen.De stroom die door elke weerstand in het circuit stroomt, zoals R1 vergeleken met R3, houdt een vaste verhouding bij, zelfs als de bronspanning verandert.Als de stroom tot en met R1 bijvoorbeeld altijd tweemaal die van R3 is, blijft deze verhouding stabiel, ongeacht schommelingen in de bronspanning.Dit voorspelbare gedrag wordt verklaard door de wet van Ohm, waarin staat dat de stroom door een weerstand in een parallel circuit omgekeerd evenredig is met zijn weerstand.
Parallelle circuits dienen als huidige scheidingsmiddelen en splitsen de totale stroom van de bron in delen die omgekeerd gerelateerd zijn aan de weerstanden.Dit kan wiskundig worden uitgedrukt als
waar
is de stroom door de weerstand
En
is de constante spanning over alle parallelle componenten.Deze relatie toont aan dat de huidige divisie in een parallel circuit niet alleen afhangt van weerstandswaarden, maar ook van het principe van het huidige behoud, wat dicteert dat de totale stroom die een kruising binnengaat, gelijk is aan de totale stroom die deze verlaat.

Figuur 2: Huidige verdeler formule
De huidige formule van de verdeler is een fundamenteel concept in elektrotechniek voor het analyseren van huidige stromen in parallelle resistieve circuits.Het laat zien dat de stroom door een tak in een parallel circuit omgekeerd evenredig is met de weerstand van die tak, vergeleken met de totale weerstand van alle takken.Dit helpt het proces te vereenvoudigen om te bepalen hoe stroom wordt verdeeld over verschillende routes in een circuit.
Om dit kwantitatief uit te drukken, wordt de stroom door een weerstand in een parallel circuit berekend met behulp van:

Hier,
is de totale stroom die het parallelle netwerk invoert,
is de equivalente weerstand van het parallelle netwerk, en
vertegenwoordigt de weerstand van elke tak, berekend door:

Deze formule is nodig voor ingenieurs en technici omdat het hen in staat stelt de stroom in elke tak van een parallel circuit te voorspellen zonder de spanning over elke component te meten.Naast het vereenvoudigen van berekeningen, helpt het circuits te ontwerpen met de gewenste huidige kenmerken.Deze optimalisatie is dynamisch voor het verbeteren van de prestaties van systemen zoals voedingen en het waarborgen van veiligheid door ervoor te zorgen dat componenten binnen hun huidige limieten werken.

Figuur 3: Formules voor stroomverdeler en spanningsverdeler
Inzicht in de verschillen en overeenkomsten tussen de spanning en de huidige scheidingsvergelijkingen kan helpen fouten te voorkomen, zoals onjuist toepassende weerstandsverhoudingen.Beide formules verdelen een totale input (stroom of spanning) over componenten op basis van hun weerstanden, maar ze werken onder verschillende omstandigheden en gebruiken verschillende benaderingen tegen weerstand.
De huidige formule van de verdeler wordt in parallelle circuits gebruikt om de stroom door een bepaalde tak te vinden.Het laat zien dat de stroom in een tak omgekeerd evenredig is met zijn weerstand in vergelijking met de totale parallelle weerstand.Dit betekent dat takken met een lagere weerstand een hoger deel van de totale stroom zullen dragen.De spanningsverdelerformule is van toepassing op seriecircuits en berekent de spanning over een specifieke component.Het geeft aan dat de spanning over een component evenredig is met zijn weerstand in vergelijking met de totale seriesweerstand.Daarom zullen componenten met een hogere weerstand een groter deel van de totale spanningsdaling hebben.
Beide formules creëren verhoudingen van sleutel, minder dan één, die hun functie als scheiders benadrukken.Ze splitsen een input (stroom of spanning) in kleinere, proportionele onderdelen in plaats van de waarden te verhogen.Het identificeren of een circuit in serie of parallel is, is vereist voor het gebruik van de juiste formule.Dit onderscheid bepaalt hoe de input is verdeeld - stromend tussen parallelle paden of spanning langs een seriepad.
Stroomverdelers zijn nodig in elektrische metercircuits, waardoor precieze regeling van de stroomstroom nauwkeurig kan worden gemeten.Deze circuits vereisen vaak een specifieke fractie van de stroom door een gevoelig instrument, dat wordt bereikt met behulp van een shuntweerstand berekend met de stroomverdelerformule.
Overweeg een elektrische meter die is ontworpen om grote stromen te meten die standaardinstrumenten niet direct aan kunnen.Door een shuntweerstand parallel met het meetapparaat te plaatsen, zorgt de huidige formule van de verdeler ervoor dat slechts een veilige, vooraf bepaalde fractie van de stroom door de meter stroomt.

De berekening omvat het selecteren van een shuntweerstandswaarde die, gecombineerd met de weerstand van de meter, de stroom op passende wijze verdeelt.Hier,
is de totale stroom,
is de weerstand van de meter, en
is de weerstand van de shuntweerstand.Door zorgvuldig te kiezen
, ingenieurs kunnen de stroom die door de meter stroomt regelen en ervoor zorgen dat deze binnen veilige operationele limieten blijft en tegelijkertijd nauwkeurige gegevens biedt voor totale berekeningen van het stroomgebruik.

Figuur 4: Huidige scheidingsregels
Het berekenen van de huidige verdeling in parallelle circuits met behulp van de huidige divideregel (CDR) vereist een systematische benadering om nauwkeurigheid en betrouwbaarheid te waarborgen.
Stap 1: Controleer circuitconfiguratie
Bevestig eerst dat het circuit parallel is gerangschikt.De CDR is alleen van toepassing op parallelle circuits waar de spanning over alle componenten hetzelfde is, maar de stromen kunnen variëren op basis van weerstandswaarden.
Stap 2: Bepaal de totale stroom
Identificeer vervolgens de totale stroom die het parallelle circuit binnenkomt.Dit kan direct worden gemeten van experimentele gegevens of afgeleid met behulp van de wet van Ohm.Als u de wet van Ohm gebruikt, berekent u de totale stroom door de totale spanning te delen door de equivalente weerstand van het circuit.
Stap 3: Bereken equivalente weerstand
Bereken de totale weerstand van de parallelle takken.Dit wordt gedaan door de wederzijdse te vinden van de som van de wederkerige van alle individuele weerstanden:
Stap 4: Bereken de stroom voor elke tak
Breng voor elke tak in het circuit de CDR -formule aan om de afzonderlijke stromen te bepalen:
waar
is de weerstand van de tak die wordt geanalyseerd.
Stap 5: Herhaal voor meerdere takken
Als het circuit meerdere takken heeft, herhaalt u de berekening voor elk.Zorg ervoor dat alle weerstanden en stromen nauwkeurig worden verantwoord.
Stap 6: Verifieer en valideren
Controleer ten slotte de berekeningen door te controleren of de som van de stromen in alle takken gelijk is aan de totale stroom die het circuit binnenkomt.Dit sluit aan bij het principe van behoud van de huidige.Bevestig bovendien de veronderstelde polariteiten en huidige richtingen om fouten in meting of interpretatie te voorkomen.
De huidige Divider Rule (CDR) is nodig voor een nauwkeurige stroomverdeling in verschillende toepassingen voor elektrotechniek en speelt een belangrijke rol in effectief circuitontwerp en -beheer.Het is met name waardevol bij het omgaan met ongelijke belasting in parallelle circuits, waar het precieze voorspellingen van de huidige stroom in elke tak biedt.Dit zorgt ervoor dat componenten correct zijn beoordeeld en hun specifieke stromen kunnen verwerken zonder het risico van overbelasting, wat ernstig is in circuits met takken die verschillende huidige ladingen ervaren.Bovendien is de CDR een belangrijke rol bij het beheersen van de stroomdissipatie in circuits waar oververhitting schade kan veroorzaken, helpen bij de stabiliteit en efficiëntie van krachtige toepassingen zoals voedingseenheden en motorbesturingssystemen.
CDR heeft ook voordelen in complexe circuits met meerdere takken.Het stelt ingenieurs in staat om te begrijpen hoe stroom wordt verdeeld op verschillende paden, wat gunstig is voor het optimaliseren van circuitindeling en het selecteren van geschikte componenten.Dit diepe inzicht helpt ervoor te zorgen dat elk deel van het circuit binnen veilige limieten werkt, een noodzaak tijdens de ontwerpfase, onderhoud en probleemoplossing.Over het algemeen draagt het vermogen van de CDR om stromen te voorspellen aanzienlijk bij aan de betrouwbaarheid en veiligheid van elektrische systemen.

Figuur 5: Weerstandstroomverdeler
Resistieve stroomverdelercircuits zijn van fundamenteel belang in elektrotechniek en illustreren hoe stromen distribueren in parallelle opstellingen.Deze circuits omvatten meestal twee of meer weerstanden parallel, die elk een deel van de totale invoerstroom ontvangen, die vervolgens op het retourpunt naar de bron recombineren.
De werking van resistieve stroomverdelers is gebaseerd op de huidige wet van Kirchhoff, die stelt dat de totale stroom die een kruising invoert, gelijk is aan de totale stroom die deze laat.Dit zorgt ervoor dat de som van stromingen door elk parallel pad gelijk is aan de initiële stroom die het circuit binnenkomt.
De wet van Ohm is ook significant in deze circuits, waardoor de methode wordt geboden om de stroom door elke weerstand te berekenen.Omdat de spanning over alle weerstanden in een parallel circuit constant is, zorgt de wet van Ohm mogelijk voor eenvoudige berekening van de stroom in elke tak:
waarV is de spanning over de weerstanden, en RX is de weerstand van een specifieke tak.
Resistieve stroomverdelercircuits zijn eenvoudige voorbeelden van de huidige divisie.In praktische termen is het analyseren van het regelen van deze stromen nodig voor het ontwerpen van circuits die precieze stroomniveaus vereisen via verschillende componenten.In systemen waar verschillende componenten bijvoorbeeld specifieke stroomniveaus nodig hebben om optimaal te functioneren, kan een resistieve stroomverdeler de juiste stromen toewijzen op basis van weerstandswaarden.
Een efficiënte manier om de huidige scheidingscircuits te analyseren, is door geleidbaarheid te gebruiken in plaats van weerstand.Geleidbaarheid, de wederzijdse weerstand, vereenvoudigt het proces van het begrijpen van de huidige verdeling in parallelle weerstandscircuits.
In parallelle circuits is het berekenen van de totale geleiding eenvoudig.De totale geleidingGtotaal is de som van de geleidingen van elke parallelle weerstand:
waar
zijn de geleidingen van de parallelle weerstanden.
Zodra u de totale geleiding kent, wordt het eenvoudiger vinden van de stroom door elke tak eenvoudiger.De stroom IXin een tak met geleidingGX wordt gegeven door:

Deze formule maakt directe berekening van filiaalstromen mogelijk met behulp van geleidbaarheid, waardoor de noodzaak om eerst een equivalente weerstand te berekenen, omzeilen en vervolgens de traditionele huidige verdelerregel toepassen.
Het gebruik van geleidbaarheid is bijzonder gunstig in complexe circuits waar het berekenen van individuele en totale weerstanden vervelend kan zijn.Het omzetten van weerstanden naar geleidbaarheid vereenvoudigt de bedragen, waardoor de huidige berekeningen directer worden en potentiële fouten verminderen.Het aannemen van geleidbaarheid voor de huidige divisie verbetert de flexibiliteit en efficiëntie van circuitanalyse.
Het gebruik van de geleiding om de huidige scheidingsregel toe te passen, biedt een duidelijkere manier om de huidige stroom in parallelle circuits te analyseren.Deze methode sluit aan bij de eigenschappen van elektrische geleidbaarheid, en biedt een intuïtief begrip van hoe stromen verspreiden over verschillende takken.
In vergelijking met traditionele op weerstand gebaseerde methoden, vereenvoudigt het gebruik van geleidbaarheid de huidige verdelingsberekeningen.In deze benadering bevindt de geleidbaarheid van elke tak zich in de teller, en benadrukt dat hogere geleidbaarheid (lagere weerstand) leidt tot hogere stroomstroom.De stroom door een tak in een parallel circuit wordt gegeven door:

Hier,GX is de geleiding van de tak,Gtotaal is de som van de geleiding van alle takken, enItotaal is de totale stroom die het circuit binnengaat.Deze gebaseerde methode biedt een duidelijker beeld van de huidige stroom in circuits met meerdere parallelle paden.Het is vooral nuttig in complexe systemen, waarbij de geleidingswaarden direct meten hoe gemakkelijk stroom door elke component stroomt.
Een stroomverdelerregel is een belangrijk hulpmiddel voor het analyseren van de stroomstroom in complexe elektrische circuits, met name in parallelle takken met meerdere weerstanden.Deze regel is nodig om de afzonderlijke stromen door elke weerstand te bepalen, vooral in complexe netwerken waar directe metingen uitdagend of onpraktisch zijn.
Parallelle weerstand: deze regel is specifiek ontworpen voor parallelle weerstandsregelingen.In een circuit waar weerstanden R1 en R2 parallel zijn, zijn de totale stroom die het knooppunt binnengaat gedeeld door R1- en R2 -splitsen tussen hen omgekeerd evenredig met hun weerstanden.Deze divisie vereenvoudigt het berekenen van de stromen in elke tak, waardoor circuitanalyse efficiënter en betrouwbaarder wordt voor verschillende toepassingen, van basiselektronica tot geavanceerde technische systemen.
Uniforme spanningsvereiste: een belangrijke voorwaarde voor het toepassen van de huidige scheidingsregel heeft dezelfde spanning over elke parallelle tak.Deze uniforme spanning zorgt voor nauwkeurige berekeningen, uitgaande van identieke spanningsniveaus voor elke weerstand.Als er spanningsverschillen zijn, zijn circuitaanpassingen zoals brontransformaties - spanningsbronnen om te converteren naar gelijkwaardige stroombronnen en vice versa - kunnen nodig zijn om de voorwaarden te herstellen die geschikt zijn voor de huidige scheidingsregel.
Beperking tot lineaire componenten: de huidige scheidingsregel werkt alleen met lineaire componenten die de wet van Ohm volgen, wat betekent dat de stroom door een component evenredig is met de spanning erover en omgekeerd evenredig met zijn weerstand.Deze regel is niet van toepassing op niet-lineaire elementen zoals diodes of transistoren, waarvan de weerstand varieert met de toegepaste spanning.Voor circuits met dergelijke elementen hebben analisten alternatieve methoden nodig die zijn afgestemd op niet-lineaire kenmerken, zoals stuksgewijze lineaire analyse of gespecialiseerde simulatiesoftware.
Steady-state conditie: de huidige scheidingsregel veronderstelt dat het circuit zich in een stabiele toestand bevindt, waarbij alle spanningen en stromen in de loop van de tijd constant blijven.Deze aandoening is significant omdat voorbijgaande fenomenen, zoals het schakelen van of af van componenten - tijdelijke schommelingen in stroom of spanning kunnen veroorzaken, waardoor de analyse mogelijk scheef.In dynamische omstandigheden zijn meer geavanceerde methoden, zoals differentiaalvergelijkingsmodellering of Laplace -transformaties, beter geschikt om voorbijgaand gedrag vast te leggen en te analyseren, wat een gedetailleerd begrip biedt van de tijdelijke dynamiek van het circuit.
De huidige scheidingsregel wordt veel gebruikt in verschillende real-world scenario's, variërend van eenvoudige circuits met twee weerstanden tot complexe systemen met meerdere weerstanden en vermogensbronnen.Deze voorbeelden tonen aan hoe de regel een effectieve en efficiënte circuit werkt.

Figuur 6: Basic Two-Resistor Circuit
Overweeg een eenvoudig parallel circuit met een totale stroom van 10 ampère die in een knooppunt stromen en tussen twee weerstanden splitsen,
De huidige scheidingsregel berekent de stroom door elke weerstand als volgt:

Dit voorbeeld laat zien hoe stroom evenredig is verdeeld op basis van weerstandswaarden, waarbij de lagere weerstand meer stroomtekening.

Figuur 7: Complex multi-resistorcircuit
Overweeg voor een complexer scenario een circuit met meerdere weerstanden en een totale stroom van 15 ampère.De weerstanden
zijn parallel verbonden.De huidige divider -regel gebruiken:

De stroom door elke weerstand kan worden gevonden door:

Deze berekening laat zien hoe verschillende weerstanden de huidige verdeling beïnvloeden.
Huidige verdelers spelen een dominante rol in verschillende toepassingen binnen elektronica en elektrotechniek.Ze zijn vereist voor functionaliteiten, variërend van componentvoorkeur tot systeemmonitoring.

Figuur 8: Biasing -transistoren in elektronische circuits
Huidige verdelers zijn vereist voor het voorspellen van transistoren.Door de stroom die naar de basis van een transistor stroomt nauwkeurig te verdelen, helpen ze het werkpunt in te stellen in het actieve gebied.Dit zorgt voor stabiele versterkerprestaties en efficiënte omschakeling in digitale circuits.

Figuur 9: Huidige verdeling van voedingen
In voedingscircuits verdelen huidige scheiders stroom onder verschillende componenten veilig en efficiënt.Dit voorkomt de overbelasting van componenten en handhaaft stabiele uitgangsspanningen onder variërende belastingsomstandigheden, waardoor de betrouwbaarheid en efficiëntie van voedingen wordt verbeterd.

Figuur 10: Huidige detectiemechanismen
Huidige verdelers zijn overtuigend in huidige detectietoepassingen.Ze sturen een beheersbare hoeveelheid stroom door sensoren, die chief is in hoogstroomomgevingen zoals motorbesturingssystemen.Het meten van een kleine, proportionele stroom nauwkeurig mogelijk maakt effectieve systeemmonitoring en controle mogelijk.

Figuur 11: spanning-naar-stroom conversie
In spanning-naar-stroom conversieprocessen passen stroomverdelers de uitgangsstroom aan op basis van een gegeven ingangsspanning.Dit is de sleutel bij de interface van de transducer, waarbij sensorsignalen moeten worden omgezet in stroom voor overdracht op lange afstand zonder signaalintegriteit te verliezen.

Afbeelding 12: Distributiesignalen in elektronische systemen
Huidige verdelers verdelen ook signalen binnen elektronische systemen, waardoor signalen worden gedeeld tussen parallelle paden met minimaal verlies of vervorming.
De verkenning van de huidige verhoudingen en de huidige scheidingsregel in parallelle circuits verduidelijkt een fundamenteel aspect van elektrotechniek met verstrekkende toepassingen.Door te begrijpen hoe stroom wordt verdeeld over verschillende takken op basis van hun weerstand, kunnen ingenieurs circuits ontwerpen die zowel efficiënt als veilig zijn.De besproken technische principes, zoals de wet van Ohm en de huidige wetgeving van Kirchhoff, zijn niet alleen theoretische constructen, maar zijn de sleutel tot praktische toepassingen, zoals bij het voorspellen van transistoren, het ontwerp van voedingscircuits en de implementatie in huidige detectiemechanismen.
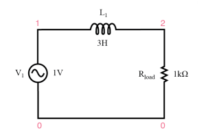
In een circuit met condensatoren is de huidige scheidingsregel gebaseerd op de impedanties (die afhankelijk zijn van de frequentie als gevolg van condensatoren met frequentie-afhankelijke reactantie).De formule voor de stroom via een condensator in een parallel netwerk is:

Waar Iis de totale stroom die het netwerk binnenkomtZC is de impedantie van de condensator, en Ztotaalis de equivalente impedantie van het parallelle netwerk.
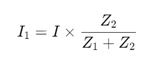
Een spanningsverdeler is een circuit dat een fractie van zijn ingangsspanning over een bepaalde belasting uitvoert.Het bestaat meestal uit twee weerstanden in serie, met de uitgangsspanning over een van hen.
Een stroomverdeler is een configuratie waarbij de inkomende stroom zich splitst in meerdere paden in een circuit met verschillende takken met hun impedantie.De stroomverdeling hangt af van de impedantie van elke tak.
Voor een basisstroomverdelercircuit met twee takken met impedantiesZ1 En Z2 de stroom doorZ1 wordt gegeven door:

Deze formule is van toepassing op elke passieve component (weerstanden, condensatoren, inductoren) en past de impedantie op de juiste manier aan.
Om op te lossen voor stroom in een circuit, gebruikt u meestal de wet van Ohm,
waarV is de spanning,I is de huidige, en R is de weerstand.In meer complexe circuits kunt u de huidige wet (KCL) van Kirchhoff gebruiken en Kirchhoff's Voltage Law (KVL) samen met de impedantiewaarden voor condensatoren en inductoren indien aanwezig.
De wet van Ohm is van fundamenteel belang voor het begrijpen van relaties in elektrische circuits, waarin staat dat de stroom door een geleider tussen twee punten recht evenredig is met de spanning over de twee punten en omgekeerd evenredig met de weerstand.
Kirchhoff's huidige wet (KCL) stelt dat de totale stroom die een kruising binnenkomt, gelijk moet zijn aan de totale stroom die de kruising verlaat.
Kirchhoff's Voltage Law (KVL) stelt dat de som van de elektrische potentiaalverschillen rond elk gesloten netwerk nul is.
Stuur een aanvraag, we zullen onmiddellijk reageren.
Op 2024/06/17
Op 2024/06/14
Op 8000/04/18 147757
Op 2000/04/18 111936
Op 1600/04/18 111349
Op 0400/04/18 83721
Op 1970/01/1 79508
Op 1970/01/1 66909
Op 1970/01/1 63045
Op 1970/01/1 63012
Op 1970/01/1 54081
Op 1970/01/1 52126