De ontwikkeling van batterijtechnologie heeft nieuwe elektronica, elektrische auto's en hernieuwbare energie bevorderd.Weten hoe verschillende methoden voor het opladen van batterijen belangrijk zijn om de beste prestaties en het langste leven van batterijen te krijgen.Dit artikel kijkt naar verschillende laadmethoden, zoals constante spanning (CV) en constante stroom (CC), hun combinaties en nieuwe methoden zoals Constant Power (CP) opladen.Het omvat ook geavanceerde technieken zoals pulslasten en de innovatieve IUI -laadmethode die zijn ontworpen voor specifieke soorten batterijen.Elke methode heeft zijn eigen voordelen en is het beste voor bepaald gebruik, wat de gedetailleerde behoeften van moderne batterijtechnologie toont.Dit artikel legt niet alleen uit hoe deze methoden werken, maar laat ook zien hoe ze worden gebruikt in de technologiegedreven wereld van vandaag, en zet het toneel voor een gedetailleerde blik op elke laadmethode, hoe ze werken en de technologische vooruitgang die het veld van blijft veranderenBatterij opladen.

Afbeelding 1: Batterij opladen werkt
Het opladen van constante spanning (CV) is een methode waarbij de spanning die op een batterij wordt toegepast, gedurende het laadproces blijft vasthouden.Dit verschilt van het laden van constante stroom (CC), waarbij de stroom constant wordt gehouden terwijl de spanning varieert.Bij het opladen van CV wordt de batterij opgeladen totdat deze een vooraf bepaald spanningsniveau bereikt.Op dit punt wordt de spanning gehandhaafd en neemt de stroom af naarmate de batterij de volledige lading nadert.Deze methode zorgt ervoor dat de spanning binnen een veilig bereik blijft, waardoor overladen en potentiële batterijschade wordt voorkomen.
Deze oplaadmethode vereist in de laatste fase van het opladen van lithium-ionbatterijen.Het biedt precieze spanningsregeling, zodat elke cel in het batterij het optimale ladingsniveau bereikt zonder de maximale spanningslimiet te overschrijden die de chemie en levensduur van de batterij kan schaden.

Figuur 2: Grafiek van de lading van de constante spanning (CV)
Hier is een gedetailleerde uitsplitsing van de CV -laadfase:
Tijdens de fase van de constante stroom (CC) wordt de batterij opgeladen totdat deze een specifieke spanningsdrempel raakt, dicht bij de maximale capaciteit (ongeveer 4,2 volt per cel voor de meeste lithium-ionbatterijen).
Nadat aan deze drempel is voldaan, gaat het oplaadcircuit over van CC naar CV -modus.De lader past vervolgens een constante spanning toe op de batterij.
Aan het begin van de CV -fase is de laadstroom hoog.Naarmate de celspanning de laderspanning nadert, neemt de stroom geleidelijk af.Dit gebeurt omdat het potentiële verschil tussen de lader en de batterij vermindert, waardoor de huidige stroom op natuurlijke wijze wordt beperkt volgens de wet van OHM.
Naarmate de batterij blijft opladen, is minder stroom nodig om de spanning te behouden.Deze afnemende stroom geeft aan dat de batterij zijn volledige laadcapaciteit nadert.
Het laadproces eindigt wanneer de stroom daalt tot een kleine fractie van het initiële ladingspercentage, vaak ongeveer 10% van de startstroom.Deze daling van de huidige signalen dat de batterij volledig is opgeladen.
Het opladen van constante stroom (CC) is een oplaadmethode voor batterijen waarbij een vaste stroom aan de batterij wordt geleverd totdat deze een specifiek spanningsniveau bereikt.In tegenstelling tot het opladen van constante spanning (CV), waarbij de spanning stabiel blijft en de stroom afneemt naarmate de batterij oplaadt, handhaaft CC -opladen een gestage stroom tijdens het laadproces.Deze stroom wordt gespecificeerd door de fabrikant van de batterij of bepaald op basis van de kenmerken van de batterij.Naarmate de constante stroom in de batterij stroomt, neemt de spanning toe.Zodra de batterij zijn aangewezen spanningsdrempel bereikt, kan de oplaadmethode overschakelen naar constante spanningslasten om de cyclus te voltooien, waardoor de batterij volledig is opgeladen zonder te veel opladen.
Het basisprincipe van het opladen van CC houdt in dat de stroom in de laadfase constant in de batterij stroomt.Dit wordt bereikt met behulp van huidige regelcircuits of apparaten die de huidige uitgang bewaken en aanpassen om overeen te komen met het gewenste niveau.Deze methode zorgt voor efficiënte energieoverdracht en minimaliseert stress op de batterijcellen.Het laden van constante stroom wordt veel gebruikt in verschillende toepassingen, waaronder consumentenelektronica, elektrische voertuigen en industriële apparatuur, vanwege de eenvoud en effectiviteit in het veilig en betrouwbaar opladen van batterijen.

Figuur 3: Grafiek van de constante stroomlaading
Vooruitgang op dit gebied wordt aangedreven door de behoefte aan efficiëntere, snellere en veiligere laadoplossingen, gericht op innovatieve materialen, batterijbeheersystemen en slimme algoritmen.Hieronder is een boeiend overzicht van deze opkomende technologieën:
|
Categorie |
Technologie |
Beschrijving |
Voordelen |
|
Elektrode materialen |
Siliciumanodes |
Silicium kan tien keer meer lithium opslaan
ionen dan grafiet, wat leidt tot hogere energiedichtheden en sneller opladen. |
Hogere energiedichtheid, sneller opladen |
|
Lithium metaalanodes |
Lithium metaal biedt een hogere capaciteit maar
vormt risico's van kort circuits van dendrieten.Oplossingen omvatten geavanceerde
Elektrolyten en ontwerpen van vaste toestand. |
Hogere capaciteit, verbeterde veiligheid |
|
|
Batterijbeheersystemen (BMS) |
Adaptieve CC -oplaad |
Bewaakt de lading van elke cel, temperatuur,
en gezondheid, het aanpassen van de stroom in realtime met behulp van machine learning en
Geavanceerde algoritmen. |
Geoptimaliseerde efficiëntie, langdurige batterij
leven |
|
Draadloos CC -opladen |
Resonerende inductieve koppeling &
Magnetische resonantie |
Technieken die efficiënte energie mogelijk maken
overdracht over korte afstanden zonder fysieke connectoren, nu geschaald
voor grotere toepassingen zoals EV's. |
Naadloze, snelle energieaanvulling voor
EVS |
|
Nanotechnologie |
Koolstofnanobuisjes en grafeen |
Nanostructureerde materialen met uitzonderlijk
elektrische geleidbaarheid en oppervlakte, opgenomen in batterij
elektroden om laadtijden te verminderen en de duurzaamheid te verbeteren. |
Sneller opladen, verbeterde batterij
duurzaamheid |
|
Hybride supercondensator-battery-systemen |
Supercondensatoren combineren voor snel
Opladen tijdens de CC -fase met batterijen voor hoge energieopslag. |
Hoog vermogen en energiedichtheid, snel
laadmogelijkheden |
|
|
Software en controle |
AI & voorspellende modellering |
Gebruikt enorme gegevensanalyse om te bepalen
Optimale laadparameters, leren van eerdere cycli om opladen te verfijnen
profielen en voorkomen overladen en oververhitting. |
Sneller, veiliger en efficiënter
laad- |
|
IoT -integratie |
IoT-compatibele laders en batterijen |
Maakt communicatie mogelijk tussen opladers,
Batterijen en gecentraliseerde systemen om laadschema's te optimaliseren en te monitoren
Batterijgezondheid in realtime. |
Kostenbesparingen, rasterbelasting, balanceren,
Real-time monitoring voor de levensduur en betrouwbaarheid van de batterij |
|
Regulerende en standaardisatie |
Regelgevende en standaardisatie -inspanningen |
Stelt richtlijnen vast voor veilige en
Efficiënte implementatie van nieuwe CC -oplaadtechnologieën, waarvoor
Compatibiliteit en veiligheid bij verschillende toepassingen en fabrikanten. |
Vergemakkelijkt de marktintegratie, zorgt voor
Veiligheid en compatibiliteit |
Hybride CVCC (constante spanning, constante stroom) Opladen is een moderne manier om batterijen op te laden.Het gebruikt zowel constante spanning als constante stroomtechnieken om het laadproces beter te maken.Het belangrijkste doel van hybride CVCC -opladen is om de batterijen langer te laten duren, veilig op te laden en efficiënt te werken.Deze methode is handig voor elektrische auto's, consumentengadgets en opslag van hernieuwbare energie.
Traditioneel laden gebruikt de hele tijd constante spanning of constante stroom.Bij het opladen van constante stroom (CC) krijgt de batterij een stabiele stroom totdat hij een bepaalde spanning raakt.Bij het opladen van constante spanning (CV) krijgt de batterij een gestage spanning terwijl de stroom langzaam afneemt naarmate de batterij volneemt.Hybride CVCC -opladen combineert deze twee manieren om hun problemen op te lossen en hun sterke punten te gebruiken.
Het doel van hybride CVCC -opladen is drievoudig.Ten eerste is het bedoeld om de oplaadtijd te verkorten en de batterij veilig op zijn maximale capaciteit te vullen.Dit is erg belangrijk voor dingen zoals elektrische auto's die snel opladen nodig hebben om downtime te verminderen.Ten tweede helpt het de batterij langer mee te gaan door overladen en oververhitting te voorkomen, veel voorkomende problemen met traditioneel opladen.Door de spanning en stroom zorgvuldig te regelen, vermindert hybride CVCC -opladen de slijtage op de batterijcellen.Ten slotte verhoogt deze methode de energie -efficiëntie door ervoor te zorgen dat het vermogen dat aan de batterij wordt geleverd, is geoptimaliseerd, waardoor energieverlies wordt verminderd en beter gebruik wordt gemaakt van de beschikbare stroom.

Figuur 4: Grafiek van het CVCC -opladen
De oplaadmethode van de hybride constante spanning/constante stroom (CVCC) begint door de batterij op te laden met een hoge stroom.Tijdens deze fase levert het laadsysteem een consistente, hoge stroom aan de batterij, ongeacht de spanning.Deze aanpak laadt de batterij snel binnen een korte tijd op een korte tijd.De hoge stroomfase is vereist om de batterij snel in een bruikbare toestand te brengen.
Terwijl de batterij de binnenkomende stroom absorbeert, stijgt de spanning.Het laadsysteem bewaakt de spanning en stroom van de batterij om ervoor te zorgen dat de veiligheidslimieten niet worden overschreden.Deze fase is effectief voor batterijen die in staat zijn om ingangen van hoge stroom te verwerken zonder schade of overmatige warmte.De duur van deze fase varieert afhankelijk van het batterijtype en de capaciteit, maar is bedoeld om de batterij snel op te laden naar een vooraf bepaald spanningsniveau.
Terwijl de spanning van de batterij het doel nadert, gaat het oplaadsysteem over naar de tweede fase, waar de stroom vermindert.Zodra de batterij een specifieke spanningsdrempel bereikt, vermindert het systeem de stroom en houdt het spanning constant.Dit helpt overladen te voorkomen en vermindert stress op de batterijcellen.
De overgangsfase vereist een evenwicht tussen het handhaven van een constante spanning en het waarborgen van de huidige verblijf binnen veilige niveaus.Het systeem maakt gebruik van algoritmen en feedbackmechanismen om de status van de batterij te controleren en de stroom aan te passen.Het doel is om de batterij dichter bij de volledige capaciteit te brengen en tegelijkertijd overlaadrisico's te minimaliseren.Deze fase wordt de energie-input afgestemd om een optimale oplaadefficiëntie en veiligheid te garanderen.
In de laatste fase handhaaft het laadsysteem een constante spanning en kan de stroom afnemen tot nul.Naarmate de batterij de volledige lading nadert, neemt de stroom nodig om de constante spanning te behouden.Deze fase zorgt ervoor dat de batterij volledig is opgeladen zonder overladen of schade veroorzaken.
Door een constante spanning in deze fase te handhaven, kan de batterij zijn laadcyclus veilig en efficiënt voltooien.Het oplaadsysteem blijft de spanning en stroom van de batterij bewaken, waardoor realtime aanpassingen zijn om de spanning stabiel te houden.Zodra de stroom een minimaal niveau of nul bereikt, is het oplaadproces voltooid en is de batterij volledig opgeladen.
Deze laatste fase maximaliseert de laadcapaciteit en gereedheid van de batterij voor gebruik.Door de spanning en stroom gedurende het hele proces te regelen, biedt de hybride CVCC -methode een betrouwbare en efficiënte manier om batterijen op te laden, de prestaties te verbeteren en de levensduur te verlengen.
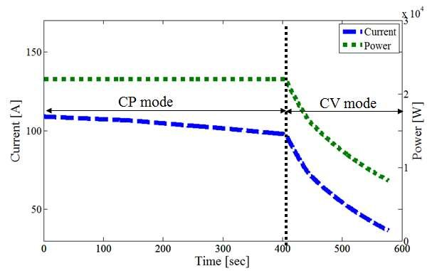
Constant Power Charging gebruikt een dynamische aanpak.Het begint met een hoge stroom wanneer de batterijspanning laag is en de stroom vermindert naarmate de spanning toeneemt.Deze methode past de stroomafgifte aan op basis van de status van de batterij, het maximaliseren van de oplaadefficiëntie en het verminderen van de batterijstress.
Constant vermogensladen is een techniek die voornamelijk wordt gebruikt voor het opladen van batterijen waarbij het invoervermogen gedurende de laadcyclus constant wordt gehouden.Vermogen, gedefinieerd als de snelheid van energieoverdracht, wordt berekend door spanning (V) en stroom (i) (p = v x i) te vermenigvuldigen.In deze methode, naarmate de spanning van de batterij toeneemt, wordt de stroom aangepast om ervoor te zorgen dat het vermogen constant blijft.Deze aanpak optimaliseert de initiële fasen wanneer de batterij veilig hogere energieoverdrachtssnelheden kan accepteren zonder oververhitting of stress.

Figuur 5: Grafiek van de constante stroom versus constant vermogenslaading
Het laden van constant vermogen is anders dan de meer gebruikelijke methoden zoals constante stroom (CC) en constante spanning (CV) opladen.Bij het opladen van constante stroom geeft de lader een stabiele stroom aan de batterij, zelfs als de spanning verandert.Dit werkt in het begin goed, maar wordt minder efficiënt naarmate de batterij voller wordt, kan te veel spanning veroorzaken en de batterij benadrukken.
Constante spanningslaading stelt de lader in op een vaste spanning en de stroom neemt af naarmate de batterij vol wordt.Dit helpt overladen te voorkomen en zorgt ervoor dat de batterij volledig oplaadt zonder de spanningslimiet te doorlopen.
Constant Power Charging probeert de goede punten van beide methoden te combineren.Het past zowel stroom als spanning aan om het vermogensniveau stabiel te houden.Dit kan de batterij eerst snel opladen, zoals constante stroom, en vervolgens vertragen naarmate de batterijspanning stijgt, zoals constante spanning.Deze methode helpt de stress op de batterij te beheren, waardoor het een goede keuze is voor dingen die snel opladen en een lange batterijduur nodig hebben, zoals elektrische auto's en apparaten met hoge capaciteit.
Constante stroomconstante spanning (CPCV) combineert twee methoden: constante spanning (CV) en constant vermogen (CP).In de CV -modus houdt de lader de spanning stabiel om de batterij te voorkomen, wanneer deze bijna vol is.In de CP -modus, die aan het begin wordt gebruikt, geeft de lader vermogen met een constant tarief voor snel opladen, waardoor de hitte en stress van de batterij worden beheerd.
Deze methode begint met constant vermogen om snel energie te leveren op hoge stromen wanneer de batterijspanning laag is.Naarmate de batterij de volledige lading nadert, verschuift deze naar het opladen van constante spanningen om het proces te verfijnen en overspanning te voorkomen.Deze strategie is effectief voor snel laadbatterijen tot een substantiële capaciteit voordat de uiteindelijke laadfasen worden geoptimaliseerd, waardoor efficiëntie en veiligheid worden gewaarborgd.
CPCV werkt met verschillende soorten batterijen, zoals lithium-ion, die zorgvuldig opladen nodig hebben.Het systeem schakelt tussen CP en CV op basis van het ladingsniveau van de batterij en andere factoren.

Figuur 6: Grafiek van het laden van constante vermogensconstante spanning (CPCV)
CPCV (constante vermogensconstante spanning) Opladen is gunstig voor lithium-ion (Li-ion) en lithium-polymeer (lipo) batterijen.Deze batterijtypen komen vaak voor in moderne hightech-apparaten.CPCV -opladen begint met een constante vermogensfase, waarbij de batterij snel veel energie absorbeert zonder te snel hoogspanningsniveaus te raken.Zodra de batterij een bepaalde spanning bereikt, verschuift het oplaad naar een constante spanningsfase, waardoor de spanning stabiel houdt om het laadproces veilig te voltooien zonder de batterij te benadrukken of te oververhitting.
• Smartphones en tablets: deze gadgets hebben snel en efficiënt opladen nodig om de levensduur en prestaties van de batterij te verbeteren.
• Laptops: vergelijkbaar met smartphones, profiteren laptops van snel maar veilig opladen, helpt de gezondheid van de batterij te behouden voor langdurig gebruik op batterijvermogen.
• Elektrische voertuigen (EV's): EV's hebben grote batterijpakketten die profiteren van CPCV -opladen.De methode laadt de batterij snel op een hoog niveau voordat hij naar een constante spanning overschakelt om het proces veilig te voltooien.
• Power Tools: batterijen met hoge capaciteit in elektrisch gereedschap kunnen snel en veilig worden opgeladen met CPCV, waardoor downtime wordt verminderd en ervoor zorgt dat de tools klaar zijn voor gebruik.
Pulsladen is een methode die wordt gebruikt om batterijen op te laden door bursts van hoge stroom aan te brengen, gevolgd door rustperioden zonder stroom of een korte ontlading.In tegenstelling tot traditionele methoden die een constante stroomstroom gebruiken, omvat het opladen van pulscycli van opladen en rusten.Deze techniek is bedoeld om natuurlijke laadprocessen in biologische systemen te repliceren, waardoor de balans tussen energie -input en de chemische stabiliteit van de batterij optimaliseren.
Deze methode kan worden afgestemd op verschillende batterijtypen, zoals loodzuur, nikkel-cadmium (NICD), nikkel-metaalhydride (NIMH) en lithium-ionbatterijen.Elk type kan unieke pulsconfiguraties vereisen, inclusief variaties in pulssterkte, duur en rustperioden.
Puls opladen Een groot voordeel is dat het de vorming van dendrieten in lithium-ionbatterijen vermindert.Dendrieten zijn naaldachtige structuren die zich kunnen vormen tijdens het opladen en veroorzaken kortsluiting, waardoor de levensduur van de batterij en de veiligheid wordt verminderd.De stop-en-start aard van pulsladen helpt bij het bepalen hoe lithiumafzettingen op de elektroden, waardoor het risico op dendrieten wordt verlaagd.
Het opladen van puls kan de prestaties van de batterij en de levensduur verbeteren door het genereren van warmte te verminderen tijdens het opladen.Dit helpt de batterij op de juiste temperatuur te houden, behoudt zijn capaciteit en verlengt zijn levensduur.Dit is belangrijk voor batterijen met hoge capaciteit in elektrische voertuigen en draagbaar elektronisch apparaat.
Pulslasten kan ook het oplaadproces versnellen zonder de batterij te beschadigen.Het zorgt voor snellere energierestauratie in vergelijking met continue stroomlaading, en nuttig voor toepassingen die snelle oplaadtijden nodig hebben, zoals noodstroomsystemen of tijdens korte automobielstops.

Figuur 7: Pulslaading van lithium -ionbatterij
Pulslaading is een geavanceerde methode voor het opladen van batterijen die tot doel heeft de efficiëntie en levensduur van oplaadbare batterijen zoals nikkel-cadmium (NICD), nikkel-metaalhydride (NIMH) en lithium-ion (li-ion) cellen te verbeteren.In tegenstelling tot traditionele continue directe stroom (DC) opladen, levert pulslaading lading in korte, gecontroleerde bursts of pulsen.Deze methode optimaliseert het laadproces en behandelt veel voorkomende batterijproblemen zoals oververhitting en het "geheugeneffect" in NICD -batterijen.
Pulslasten werken door met tussenpozen een hogere stroom op de batterij toe te passen gedurende een korte periode gevolgd door een rustperiode zonder stroom.Deze pulsen verminderen de algehele thermische spanning op de batterij door warmte te laten verdwijnen tijdens de rustperioden, waardoor de temperatuurstijging en potentiële schade worden geminimaliseerd.
Pulsladers gebruiken twee hoofdtypen pulsen:
• Laadpulsen: hoge stroompulsen die de batterij snel opladen.De amplitude, duur en frequentie van deze pulsen variëren afhankelijk van het batterijtype en de staat.
• Afvoerpulsen: af en toe afgewisseld met laadpulsen, helpen deze de batterij -elektrolyt te vernietigen en het geheugeneffect in NICD -batterijen te verminderen.
De lader regelt de duur van de laadpulsen en de intervallen tussen hen met behulp van feedbackmechanismen die batterijparameters zoals spanning en temperatuur bewaken.Met deze feedback kan de lader het oplaadproces aanpassen, waardoor de ladingacceptatie van de batterij en de algehele gezondheid wordt verbeterd.
Druppel opladen is een techniek die wordt gebruikt om batterijen volledig opgeladen te houden terwijl ze overladen voorkomen.Het werkt door een kleine, consistente stroom van elektriciteit naar de batterij te leveren, overeen te komen met zijn natuurlijke zelfontladingssnelheid.Deze methode is handig voor apparaten die niet vaak worden gebruikt, waardoor ze opgeladen en klaar blijven zonder de gezondheid van de batterij te schaden.
Dit proces past een minimale, continue stroom toe, ideaal voor het handhaven van de lading van een batterij gedurende lange periodes.De langzame laadsnelheid houdt de batterij gezond en klaar voor gebruik, zelfs wanneer het volledig wordt opgeladen.Hoewel het voordelig is voor standby-batterijen, wordt het niet aanbevolen voor NIMH- en lithium-ionbatterijen, omdat ze kunnen worden beschadigd door langdurig opladen op laag niveau.
Het hoofddoel van druppel opladen is om een batterij voor onbepaalde tijd bij optimale lading te houden.Het druppellaadproces omvat zorgvuldig het reguleren van de elektrische stroom die in de batterij stroomt.De lader controleert eerst de spanning van de batterij om te beslissen hoeveel stroom te bieden.Als de spanning onder het doel is, levert de lader een hogere stroom om deze op te laden.Zodra de doelspanning is bereikt, schakelt de lader over naar een lagere, gestage stroom die overeenkomt met de zelfontladingssnelheid van de batterij.Deze aanpak houdt de batterij volledig opgeladen zonder het risico van overladen, waardoor zijn levensduur en prestaties worden verlengd.

Afbeelding 8: Dickle Battery Charging
Loodzuurbatterijen: zowel float- als pulsladen zijn geschikt.Het opladen van vlotten heeft vaak de voorkeur voor stationaire toepassingen zoals noodsystemen.
Nikkel-cadmiumbatterijen: deze batterijen kunnen zowel puls- als float-opladen gebruiken, nuttig bij het overladen is een zorg.
Lithium-ionbatterijen: deze zijn niet geschikt voor druppel- of float-opladen vanwege hun gevoeligheid voor overladen.Pulsladen, met gecontroleerde uitbarstingen en geschikte circuits, is beter geschikt om lithium-ionbatterijen te beschermen en te onderhouden.
Multi-fase constante stroom (MCC) opladen is een geavanceerde techniek voor het opladen van batterijcellen, met name lithium-ion en loodzuurbatterijen.Deze methode omvat verschillende stadia van het laden van constante stroom, elk afgestemd op verschillende fasen van de ladingscyclus van de batterij.Het belangrijkste doel van MCC -opladen is het verbeteren van de gezondheid van de batterij en een lange levensduur door de stroom aan te passen die tijdens verschillende fasen van het laadproces wordt geleverd.
In de eerste fase wordt een hogere constante stroom toegepast om de batterij snel op een deel van zijn capaciteit op te laden.Deze fase, bekend als bulkladen, verhoogt het ladingsniveau van de batterij efficiënt.
Naarmate de batterij bepaalde spanningsdrempels bereikt, verschuift het laadsysteem naar stadia met lagere stromen.Deze fasen bieden fijnere controle, waardoor overladen en het verminderen van stress op de batterijcellen worden verminderd.Deze zorgvuldige modulatie helpt de levensduur en efficiëntie van de batterij te handhaven.

Figuur 9: Grafiek van de meerfase constante stroom (MCC) opladen
|
Aspect |
MCC opladen |
|
Batterij
Gezondheid |
Minimaliseert stress tijdens het opladen |
|
Huidig
Aanpassing |
Past aan op basis van het ladingsniveau van de batterij |
|
Oververhitting
Preventie |
Vermindert de stroom naarmate de lading toeneemt tot
Voorkom oververhitting |
|
Batterij
Levensduur |
Verbetert de algehele gezondheid en een lange levensduur |
|
Temperatuur
Beheer |
Houdt de temperatuur binnen optimale reeksen |
|
Spanning
Beheer |
Voorkomt overmatige spanningsstress |
|
Efficiëntie |
Snel aanklachten zonder op te offeren
veiligheid |
|
Capaciteit
en stabiliteit |
Handhaaft een hogere capaciteit en stabiliteit
over de levensduur |
|
Sollicitatie
Geschiktheid |
Geschikt voor verschillende toepassingen
(Elektronica, voertuigen) |
Taps stroomlasten, afgeleid van de constante spanningsmethode, vermindert de laadstroom naarmate de batterijspanning stijgt.Deze eenvoudigere methode vereist zorgvuldige monitoring om overladen te voorkomen, vooral in afgesloten loodzuurbatterijen, om afbraak of falen te voorkomen.
Naarmate de batterij oplaadt, gaat de interne weerstand omhoog en kan hij hogere temperaturen en mogelijke schade veroorzaken als de initiële hooglaadstroom hetzelfde wordt gehouden.Door de stroom te verminderen, zorgt de lader voor dat de batterij minder stroom wordt naarmate deze meer oplaadt, waardoor het risico op oververhitting wordt verlaagd en de levensduur van de batterij verlengt.
In vergelijking met andere methoden voor het opladen van batterijen is het taps toelage van de huidige oplaad eenvoudiger en vaak veiliger.Het verschilt van meer complexe technieken zoals pulsladen of constante stroom/constante spanning (CC/CV) opladen die worden gebruikt voor lithium-ionbatterijen.Die methoden kunnen batterijen sneller en efficiënter opladen, maar hebben meer geavanceerde systemen nodig om het laadproces veilig te regelen.
Ook bekend als reflex- of negatieve pulslaading, omvat BURP -opladen korte ontladingspulsen tijdens het laden van rust.BURP-opladen is een methode die wordt gebruikt om de levensduur en efficiëntie van op nikkel gebaseerde batterijen te verbeteren, zoals nikkel-cadmium (NICD) en nikkel-metal hydride (NIMH) batterijen.Deze techniek omvat het kort onderbreken van het laadproces met pulsen met korte lozingen.Deze korte lozingen geven gasbellen vrij die zich ophopen in de batterijcellen tijdens normaal opladen.Deze afgifte, vaak "burping" genoemd, voorkomt drukopbouw en vermindert het geheugeneffect, een voorwaarde die de capaciteit en de levensduur van een batterij kan verminderen als deze herhaaldelijk wordt opgeladen zonder volledig te worden ontslagen.

Afbeelding 10: BURP -laaddiagram
Hier is hoe het werkt en waarom het nuttig is:
Bij het opladen kunnen deze batterijen gasbellen op hun elektroden vormen, waardoor de elektriciteitsstroom wordt geblokkeerd.BURP -opladen omvat korte lozingen, of "burps", die helpen deze bubbels te laten knallen en de elektriciteit soepel te laten stromen.
De korte lozingen helpen de interne omgeving van de batterij stabiel te houden.Burp Charging vermindert gasopbouw en interne druk en zorgt voor een meer gelijkmatige ladingsverdeling binnen de batterij.
BURP -opladen vermindert het risico op overladen en oververhitting, veel voorkomende problemen met traditionele laadmethoden.Dit maakt het laadproces sneller en zorgt ervoor dat de batterij volledig en gelijkmatig oplaadt.
Door het opstellen van gas en oververhitting te voorkomen, helpt BURP -opladen de interne componenten van de batterij te behouden.Dit leidt tot een langere levensduur voor de batterij.
IUI-opladen is een moderne methode voor snel oplaadstandaard overstroomde loodzure batterijen.Het omvat drie fasen: een initiële constante stroomfase totdat een ingestelde spanning is bereikt, een constante spanningsfase waarbij de stroom afneemt tot een ander vooraf ingestelde niveau en een uiteindelijke terugkeer naar constante stroom.Deze benadering zorgt ervoor dat zelfs het opladen van alle cellen, het maximaliseren van de prestaties en de levensduur.
De IUI-oplaadmethode is gunstig voor standaard overstroomde loodzuurbatterijen omdat het ervoor zorgt dat zelfs over alle cellen wordt opgeladen, goed voor het handhaven van optimale prestaties en het verlengen van de totale levensduur van de batterij.IUI -oplaadbeheert de stroom en spanning om overladen of onderladen te voorkomen, waardoor het risico op batterijstoring wordt verminderd.Het verkort ook de laadtijd, waardoor het voor veel toepassingen efficiënt en praktisch is.

Figuur 11: IUI -oplaaddiagram
Float Charging is een techniek die voornamelijk wordt gebruikt met loodzuurbatterijen in noodstroomsystemen.Deze methode omvat het verbinden van de batterij en de belasting op een constante spanningsbron.De spanning wordt net onder de maximale capaciteit van de batterij gehouden.Deze zorgvuldige besturing van spanning voorkomt overladen en zorgt ervoor dat de batterij altijd klaar is voor gebruik.
Praktisch houdt het opladen van float de batterij volledig klaar zonder het risico van overladen.De constante spanningsbron compenseert de natuurlijke zelfontlading van de batterij en houdt zijn lading op een optimaal niveau.Deze methode is erg handig voor systemen waar de batterij op elk moment gereed moet zijn, zoals ononderbroken voedingen (UPS), noodverlichting en standby -generatoren.
Het gebruik van float -opladen helpt de betrouwbaarheid van de batterij te behouden en zorg ervoor dat deze indien nodig stroom kan bieden.Het vermindert ook de behoefte aan frequent onderhoud en monitoring, waardoor het een praktische en efficiënte manier is om noodstroomsystemen klaar te houden.

Afbeelding 12: Diagram voor het laden van vlotter
Willekeurig opladen is een methode die wordt gebruikt wanneer de voeding onbetrouwbaar is of veel verandert.Dit gebeurt vaak in situaties zoals voertuigen met veranderende motorsnelheden of zonnepanelen die door het weer worden beïnvloed.
In voertuigen kunnen het motortoerental veel variëren, waardoor onregelmatige vermogensuitgangen veroorzaken die het voor een batterij moeilijk maken om goed op te laden.Evenzo produceren zonnepanelen elektriciteit op basis van zonlicht en kunnen snel veranderen vanwege wolken of tijdstip van de dag.Deze veranderingen kunnen veel stress op batterijen leggen als ze niet goed worden afgehandeld.
Om deze problemen aan te pakken, gebruikt willekeurig opladen speciale technieken om variabele laadvoorwaarden te beheren.Deze omvatten geavanceerde algoritmen en slimme laadsystemen die zich in realtime aanpassen aan stroomvoorziening.Met het continu bewaken van het invoervermogen en het aanpassen van het laadproces, beschermen deze systemen de batterij tegen schade veroorzaakt door fluctuatievermogen.
Willekeurig opladen zorgt ook voor de batterij werkt goed en duurt langer, zelfs met een inconsistente stroombron.Het voorkomt overladen tijdens stroomstieken en zorgt ervoor dat er voldoende opladen is tijdens druppels in de stroom.

Afbeelding 13: Grafiek voor het willekeurige opladen
Het verkennen van verschillende manieren om batterijen op te laden, laat zien hoe belangrijk het is om de batterijtechnologie te verbeteren om te voldoen aan de groeiende behoeften van moderne apparaten en systemen.Basismethoden zoals constante spanning en constante stroom, evenals meer geavanceerde technieken zoals hybride CVCC en constant vermogensladen, hebben elk hun eigen voordelen en zijn het beste voor specifieke soorten batterijen en toepassingen.Voortgang in materialen voor elektroden, batterijbeheersystemen en het gebruik van slimme technologie zijn belangrijk om batterijen beter en veiliger te maken.De toekomst van het opladen van batterijen hangt af van het ontwikkelen en gebruiken van deze technologieën om ervoor te zorgen dat ze duurzaam, efficiënt en betrouwbaar zijn.
Langzaam opladen: deze methode maakt gebruik van standaard AC (alternatieve stroom) Vermogen in residentiële instellingen.Opladers werken op lagere vermogensniveaus (tot 3 kW), waardoor het geschikt is voor overnachting.
Snel opladen: snelle opladers gebruiken hogere niveaus van acvermogen (tot 22 kW) en zijn te vinden in openbare laadstations.Ze kunnen een batterij van een elektrische voertuig (EV) sneller opladen dan langzame opladers, meestal binnen een paar uur.
Snel opladen: dit zijn de snelste laders die beschikbaar zijn, met behulp van DC (Direct Current) Power.Ze kunnen het grootste deel van de batterijcapaciteit van een EV binnen een uur opstijgen.De vermogensniveaus beginnen vanaf ongeveer 50 kW en kunnen naar 350 kW gaan voor de meest geavanceerde systemen.
Per minuut opladen: deze prijsstructuur rekent gebruikers in rekening op basis van de hoeveelheid tijd die is verbonden met de lader, ongeacht de hoeveelheid verbruikte elektriciteit.
Opladen per kWh: dit is een op gebruik gebaseerd prijsmodel waarbij gebruikers worden gefactureerd op basis van de elektriciteit die door hun voertuig in kilowattuur wordt verbruikt.Deze methode wordt als eerlijker beschouwd omdat deze direct correleert met de gebruikte energie.
Vlakke tarief opladen: sommige oplaadstations bieden een vast tarief voor een bepaald laadvenster, zoals een uur of een dag, en kunnen voordelig zijn voor langere stops.
MODE 1 Opladen: dit is de eenvoudigste vorm van EV -opladen, waarbij het voertuig rechtstreeks op een standaard elektrische uitlaat van huishoudens is verbonden zonder speciale apparatuur.Het is traag en gebruikt voor kleinere voertuigen of overnachting in huis opladen.
MODE 2 Opladen: deze modus omvat ook opladen vanuit een standaard elektrische stopcontact, maar bevat een kabel met een ingebouwd beschermingsapparaat.Dit apparaat beschermt tegen elektrische schokken en andere potentiële elektrische gevaren, waardoor het veiliger is dan modus 1 en meer veelzijdig.
Vermijd extreme opladen: laad de batterij niet routinematig op 100% of laat deze tot 0% aflopen.Houd de lading tussen 20% en 80%.
Controletemperatuur: batterijen werken het beste bij matige temperaturen.Vermijd het blootstellen van de batterij aan extreme kou of warmte.
Gebruik door de fabrikant aanbevolen opladers: gebruik altijd de door de voertuigfabrikant aanbevolen laadapparatuur om te voorkomen dat de batterij wordt beschadigd.
Regelmatig gebruik en onderhoud: regelmatig gebruik en tijdige onderhoudscontroles helpen bij het handhaven van de gezondheid van de batterij.Lange perioden van inactiviteit kunnen de prestaties van de batterij afbreken.
Oplaadsnelheid: snel opladen is handig, maar kan de batterij streven.Langzame of matige laadsnelheden hebben de voorkeur voor dagelijks gebruik om de levensduur van de batterij te verlengen.
Temperatuurregeling: opladen in een gecontroleerde omgeving waar de temperatuur matig is, helpt de gezondheid en efficiëntie van de batterij te behouden.
Laadbereik: het bijhouden van de ladingstoestand van de batterij tussen 20% en 80% tijdens regelmatig gebruik kan van invloed zijn op de levensduur en prestaties.
Stuur een aanvraag, we zullen onmiddellijk reageren.
Op 2025/11/3
Op 2025/10/31
Op 8000/04/18 147758
Op 2000/04/18 111938
Op 1600/04/18 111349
Op 0400/04/18 83721
Op 1970/01/1 79508
Op 1970/01/1 66914
Op 1970/01/1 63058
Op 1970/01/1 63012
Op 1970/01/1 54081
Op 1970/01/1 52131