
A Plug Flow Reactor (PFR), ook bekend als een zuigerstroomreactor, is een belangrijk hulpmiddel in chemische technologie die wordt gebruikt om te bestuderen hoe chemische reacties plaatsvinden in een lange buis.In dit type reactor worden vloeistoffen aan het ene uiteinde ingepompt en gestaag door de buis naar het andere uiteinde gaan met een constante snelheid.De stroom is glad en zelfs, zonder onderweg wervelen of mengen.Dit betekent dat de vloeistoffen in afzonderlijke lagen of pluggen reizen, waardoor de verschillende stadia van de reactie uit elkaar blijven.Met andere woorden, de vloeistoffen die eerder in de buis komen, lopen altijd voor op de vloeistoffen die later binnenkomen, en ze mengen zich niet met elkaar terwijl ze verder gaan.Dit helpt om de chemische reactie te regelen omdat de reactanten op volgorde worden bewaard, waardoor elk deel van de reactie stap voor stap kan plaatsvinden terwijl de vloeistoffen door de buis stromen.
De unieke manier waarop vloeistoffen in een PFR bewegen, heeft enkele belangrijke voordelen voor chemische reacties.Aangezien er geen mixen achteruit is, besteedt elke vloeistoflaag dezelfde hoeveelheid tijd in de reactor, wat leidt tot een consistent reactieproces.Dit maakt het gemakkelijker om te voorspellen hoeveel product zal worden gemaakt omdat de reactietijd hetzelfde is voor elk deel van de vloeistof.U kunt de lengte en breedte van de buis, de snelheid van de stroom en de temperatuur aanpassen om de reactie te regelen en de beste resultaten te krijgen.Plugstroomreactoren zijn vooral nuttig voor reacties die hoge temperaturen nodig hebben of gassen met zich meebrengen, omdat de gestage stroom de reactie onder controle houdt.Ze worden vaak gebruikt in industrieën zoals olieraffinage, het maken van kunststoffen en het behandelen van afvalgassen.Dit ontwerp is ook goed voor grootschalige productie, omdat het gemakkelijker is om te voorspellen en te bepalen wat er in de reactor gebeurt.
Plugstroomreactoren (PFR's) worden gekenmerkt door hun unidirectionele stroom, waarbij reactanten en producten uitsluitend in een voorwaartse richting langs de lengte van de reactor bewegen.Dit gestroomlijnde stromingspatroon wordt bereikt door de reactor te ontwerpen als een buisvormige leiding, die elke terugmixing van vloeistofelementen minimaliseert.In een PFR behouden de vloeistofelementen, vaak aangeduid als pluggen, hun identiteit naarmate ze door de reactor vorderen, wat betekent dat er minimale diffusie is tussen aangrenzende pluggen.Deze geordende beweging is belangrijk voor het bereiken van precieze controle over reactiekinetiek omdat elke plug een unieke en voorspelbare reeks reactieomstandigheden ervaart terwijl deze door de reactor beweegt.Reactanten bij de inlaat komen de hoogste concentraties en de meest verse chemische omgeving tegen, die strategisch kunnen worden gebruikt om snelle reactiesnelheden te stimuleren.

Figuur 2. Plug stroomreactor (PFR) directionele stroomweergave
Naarmate de pluggen vooruitgaan, nemen de reactantconcentraties af terwijl de productconcentraties toenemen, na een sequentieel conversieproces langs de lengte van de reactor.Deze systematische progressie is voordelig voor reacties die strikte stoichiometrische controle vereisen of die gevoelig zijn voor concentratieschommelingen.Door recirculatie te voorkomen en een consistente directionele stroming te behouden, verminderen PFR's het risico op nevenreacties die kunnen optreden als reactanten en producten moeten mengen of recyclen.Dit maakt PFR's ideaal voor processen zoals polymerisatie, verbranding of complexe chemische syntheses.Het voorspelbare stroompatroon verbetert de nauwkeurigheid van reactiemodellering en opschaling, waardoor PFR's zeer waardevol zijn in zowel onderzoeks- als industriële toepassingen.
Een bepalend kenmerk van plugstroomreactoren is de ontwikkeling van een concentratiegradiënt langs de lengte van de reactor.Bij de inlaat worden reactanten geïntroduceerd in hun hoogste concentraties, waardoor een drijvende kracht ontstaat voor de reactie om verder te gaan.Naarmate de reactie vordert, nemen de reactantconcentraties gestaag af, terwijl de productconcentraties tegelijkertijd toenemen.Dit resulteert in een goed gedefinieerde concentratiegradiënt die voorspelbaar evolueert van de inlaat naar de uitlaat van de reactor.Deze gradiënt is steilst in de buurt van de inlaat, waar reactantconcentraties op hun piek zijn en de reactiesnelheid het hoogst is vanwege de overvloed aan reactanten.Naarmate de reactanten worden geconsumeerd, wordt de gradiënt geleidelijk plat plat en weerspiegelt de verminderde reactiesnelheid naarmate het systeem het evenwicht nadert.
De afwezigheid van rugmixing in PFRS zorgt ervoor dat elke plug een unieke concentratieomgeving ervaart, waardoor efficiënte en sequentiële reactantconversie wordt bevorderd.De concentratiegradiënt is voordelig voor reacties met concentratie-afhankelijke kinetiek, waarbij de reactiesnelheid een functie is van de reactantconcentratie.In dergelijke gevallen maximaliseert de hoge reactantconcentratie bij de inlaat de initiële reactiesnelheid, wat leidt tot een efficiënt gebruik van reactanten.Dit progressieve consumptie van reactanten minimaliseert het risico op ongewenste nevenreacties die kunnen optreden in tussenliggende concentraties.Voor processen met concurrerende reacties kan de concentratiegradiënt worden beheerd om de gewenste productpad te bevoordelen.Dit maakt PFR's zeer effectief voor complexe syntheseprocessen, zoals in de farmaceutische of fijne chemicaliënindustrie, waar productselectiviteit en opbrengstoptimalisatie.
Een van de meest voordelen van plugstroomreactoren is de uniforme verblijftijdverdeling.In een PFR besteedt elke plug van reactant dezelfde hoeveelheid tijd die door de reactor reizen, van de inlaat naar de uitlaat.Deze uniforme verblijftijd zorgt ervoor dat alle reactantmoleculen worden onderworpen aan identieke reactieomstandigheden, inclusief temperatuur-, druk- en concentratieprofielen.Deze consistentie wordt bereikt omdat de pluggen op een ordelijke, opeenvolgende manier door de reactor bewegen zonder enige rugmixen of radiale dispersie.Bijgevolg is er geen variatie in de tijd die reactanten doorbrengen in de reactor, die in schril contrast staat met continue geroerde tankreactoren (CSTR's), waar reactanten zeer variërende verblijfstijden kunnen hebben als gevolg van grondige mengsel.
Uniforme verblijftijd is goed voor het handhaven van de consistente productkwaliteit, vooral in complexe chemische processen.In polymerisatiereacties zorgt bijvoorbeeld voor consistente verblijftijd voor uniforme polymeerketenlengtes en molecuulgewichtverdeling, wat leidt tot superieure productprestaties.Bij farmaceutische synthese garandeert het consistente chemische zuiverheid en potentie voor naleving van regulerende en producteffectiviteit.De voorspelbare verblijftijdverdeling vereenvoudigt kinetische modellering en opschaling, waardoor nauwkeurige simulatie van reactiegedrag op industriële schaal mogelijk is.Deze voorspelbaarheid verbetert de procescontrole en optimalisatie, wat leidt tot verhoogde productiviteit en kostenefficiëntie.
Plugstroomreactoren staan bekend om hun hoge conversie-efficiëntie per volume-eenheid, die superieur is aan die van continue geroerde tankreactoren (CSTR's).In PFR's worden reactanten continu geconsumeerd terwijl ze door de reactor bewegen, volgens een lineaire en progressieve reactieroute.Dit sequentiële verbruik minimaliseert de concentratie van niet -gereageerde soorten op elk punt langs de lengte van de reactor, wat resulteert in hogere totale conversiepercentages.De afwezigheid van terugmixing maakt het mogelijk om reactanten tijdens hun reis te worden blootgesteld aan optimale reactieomstandigheden, het maximaliseren van de reactiesnelheid en het minimaliseren van de vorming van ongewenste bijproducten.Dit is voordelig voor snelle of zeer exotherme reacties die snelle reactant -uitputting vereisen om de veiligheid en productintegriteit te behouden.
In dergelijke gevallen vergemakkelijkt het plugstroomontwerp effectief warmtebeheer door gelokaliseerde temperatuurpieken te voorkomen die kunnen leiden tot thermische wegloper of productafbraak.De hoge conversie -efficiëntie van PFR's vermindert het vereiste reactorvolume, wat leidt tot kleinere apparatuurvoetafdrukken en lagere kapitaalkosten.Deze efficiëntie vertaalt zich ook in verminderde operationele kosten, omdat er minder energie en minder grondstoffen nodig zijn om de gewenste productopbrengst te bereiken.Dit maakt PFR's aantrekkelijk voor grootschalige industriële toepassingen, zoals petrochemische verwerking, bulkchemische productie en milieubehandelingssystemen.
Plugstroomreactoren werken onder stabiele staten, waarbij consistente stroomsnelheden, concentratieprofielen en temperatuurverdelingen in de reactor worden gehandhaafd.Bij de bewerkingen van de steady-state zijn de instroom- en uitstroomsnelheden constant, waardoor een continu en ononderbroken productieproces wordt gewaarborgd.Deze stabiliteit is goed voor het handhaven van een uniforme productkwaliteit, wat belangrijk is in industrieën zoals petrochemische raffinage, polymeerproductie en grootschalige chemische synthese.De steady-state aard van PFRS vereenvoudigt de procescontrole en automatisering omdat de bedrijfsparameters van het systeem in de loop van de tijd constant blijven.
Deze voorspelbaarheid verbetert de schaalbaarheid en procesbetrouwbaarheid, waardoor de complexiteit van de monitoring- en aanpassingsreactieomstandigheden wordt verminderd.Bovendien minimaliseert steady-state werking schommelingen in productsamenstelling, waardoor consistente chemische zuiverheid en kwaliteit voor hoogwaardige producten zoals farmaceutische producten en speciale chemicaliën worden gewaarborgd.Steady-state werking vergemakkelijkt ook energie-efficiëntie en procesoptimalisatie, omdat de constante bedrijfsomstandigheden een precieze controle van thermische en massaoverdrachtsprocessen mogelijk maken.Dit maakt PFR's geschikt voor toepassingen die een strakke controle over reactiekinetiek en productselectiviteit vereisen, wat verder bijdraagt aan kostenbesparingen en duurzaamheid bij de productie van chemische productie.
Plugstroomreactoren zijn ontworpen om een efficiënte warmteoverdracht te ondersteunen en het beheren van temperatuur in exotherme of endotherm reacties.Het consistente stromingspatroon voorkomt rugmixen, waardoor precieze temperatuurregeling langs de lengte van de reactor mogelijk is.Dit maakt de implementatie van gecontroleerde temperatuurgradiënten of het gebruik van warmtewisselaars mogelijk om het thermische beheer te optimaliseren.Effectieve warmteoverdracht verbetert niet alleen de energie-efficiëntie, maar verbetert ook productselectiviteit, waardoor PFR's ideaal zijn voor temperatuurgevoelige reacties, zoals die in fijne chemische synthese of katalytische processen.In zeer exotherme reacties helpen PFR's om warmte effectief te verdwijnen, waardoor thermische wegloper wordt voorkomen en een veilige werking wordt gewaarborgd.Omgekeerd vergemakkelijken ze in endotherme reacties een efficiënte warmtetoevoer om reactiesnelheden en conversie -efficiëntie te behouden.
PFR's zijn veelzijdig en zijn geschikt voor gasfase, vloeistoffase en heterogene reacties, inclusief die met katalysatoren.Met dit aanpassingsvermogen kunnen ze worden gebruikt in een breed scala aan chemische processen, zoals gasfase-oxidatie, vloeistoffase-polymerisatie en katalytische hydrogenering.Het plugstroomontwerp maximaliseert reactant-katalysatorcontact, het verbeteren van de reactiesnelheden en katalysatorefficiëntie voor industriële toepassingen in petrochemische verwerking, polymeerproductie en omgevingskatalyse.
Een plugstroomreactor (PFR) is ontworpen om efficiënt en nuttig te zijn bij chemische verwerking.Het ziet er meestal uit als een lange, smalle buis of pijp, waardoor chemicaliën gestaag van het ene uiteinde naar het andere kunnen stromen.In de buis zijn er geen menggereedschap, zoals roerders.Hierdoor bewegen de chemicaliën soepel, als een zuiger, zonder samen te mengen.Deze gestage stroom helpt de reacties gelijkmatig op te treden en zorgt voor een goede controle over hoe snel ze zich voordoen.Dit maakt PFR's erg nuttig in chemische fabrieken en industrieën.

Figuur 3. Schematisch schema van de stroomreactor
Het diagram toont een plugstroomreactor (PFR), een type chemische reactor ontworpen voor continue chemische verwerking.In deze opstelling komen reactanten binnen bij de inlaat (x = 0) en bewegen gestaag door een cilindrische buis naar de uitlaat (x = l).De stroom in de reactor is gestroomlijnd, waardoor een consistent snelheidsprofiel wordt gehandhaafd waarbij elk vloeistofelement parallel aan de as van de reactor reist zonder enige rug te mixen.Met deze opstelling kunnen reactanten geleidelijk omzetten in producten naarmate ze verder gaan over de lengte van de reactor.Het gearceerde segment gemarkeerd als 𝑑𝑥 vertegenwoordigt een klein volume -element in de reactor.Dit differentiële plak is nodig voor het modelleren van chemische reacties die in de PFR optreden, omdat het helpt om veranderingen in reactiesnelheid en concentratie te evalueren naarmate de reactanten vooruitgaan.
De afwezigheid van radiaal mengen behoudt de plugstroomconditie, zodat elk vloeistofelement zijn identiteit en samenstelling gedurende zijn reis behoudt.Als gevolg hiervan variëren de concentratie- en reactiesnelheden langs de lengte van de reactor, maar blijven ze uniform over elke dwarsdoorsnede.Deze plugstroomkarakteristiek maakt PFR's geschikt voor chemische processen die nauwkeurige controle vereisen over reactietijd en productvorming.Omdat alle vloeistofelementen dezelfde verblijftijd hebben, levert de reactor een consistente productkwaliteit en efficiënte reactantconversie.Vanwege deze voordelen worden PFR's veel gebruikt bij de productie van chemische productie, inclusief toepassingen zoals polymerisatie, gasfase-reacties en katalytische processen.
Een plugstroomreactor (PFR) werkt op een uniek stroompatroon dat de reactieomstandigheden over de lengte consistent houdt.Dit ontwerp maakt nauwkeurige controle over verblijftijd, temperatuur en druk mogelijk, waardoor PFR's zeer efficiënt worden voor chemische processen die nauwkeurig reactiebeheer vereisen.Deze sectie onderzoekt de gedetailleerde operationele principes van PFR's en hun belang in industriële chemische verwerking.
In een plugstroomreactor (PFR) bewegen vloeistoffen continu en uniform langs een cilindrische buis of buis, waardoor een sterk georganiseerd stroompatroon ontstaat.Reactanten worden geïntroduceerd aan het ene uiteinde van de reactor en stromen gestaag door naar het andere uiteinde, waar ze als producten verlaten.Dit ontwerp zorgt voor een naadloze progressie van inlaat naar uitlaat zonder enige onderbreking van de beweging van de vloeistof.De architectuur van de reactor handhaaft een consistente stroomrichting, waardoor elke achterwaartse mengen of recirculatie strikt wordt voorkomen.Deze unidirectionele beweging is belangrijk voor het behoud van de chemische integriteit van de reactanten en producten terwijl ze door de reactor reizen.Een belangrijk kenmerk van dit stroompatroon is dat elk klein segment of plug van vloeistof zijn eigen unieke chemische identiteit behoudt terwijl het door de reactor beweegt.Deze pluggen mengen niet zijdelings met elkaar, zodat de compositie binnen elke plug gedurende zijn reis constant blijft.
Deze isolatie van vloeistofsegmenten behoudt de concentratiegradiënten voor efficiënte chemische reacties.De afwezigheid van radiaal mengen leidt ook tot een meer voorspelbaar reactieprofiel, waardoor nauwkeurige modellering en optimalisatie van chemische processen mogelijk is.Het gestroomlijnde stroompatroon binnen een PFR minimaliseert turbulentie en chaotische beweging, die helpt bij het handhaven van de integriteit van reactantstromen.Deze ordelijke stroom ondersteunt een hoge conversie -efficiëntie omdat de reactanten consequent dezelfde reactieomstandigheden ervaren als ze door de reactor passeren.De afwezigheid van rugmixen zorgt ervoor dat de verblijftijd van elke plug identiek is, wat leidt tot uniforme blootstelling aan temperatuur en druk.Deze uniformiteit verbetert de reactiesnelheden en verbetert de productselectiviteit, wat resulteert in een meer gecontroleerd en efficiënt chemisch proces.Vanwege de precieze controle over stroompatronen en reactieomstandigheden zijn PFR's geschikt voor reacties die een consistente omgeving vereisen om hoge opbrengsten en selectiviteit te bereiken.

Figuur 4. Plugstroomreactor (PFR) continue stroom en reactieprogressie
Het vermogen van de reactor om een steady-state werking te handhaven met minimale concentratieschommelingen in concentratie of temperatuur, maakt het een ideale keuze voor chemische en farmaceutische industrie.In deze sectoren is het handhaven van productconsistentie en kwaliteit belangrijk, en de voorspelbare prestaties van PFRS ondersteunen deze vereisten effectief. De schaalbaarheid van PFR's verbetert hun nut verder in industriële toepassingen.Hun modulair ontwerp zorgt voor een eenvoudige aanpassing van de reactorlengte en diameter om verschillende productiecapaciteiten aan te kunnen.Deze flexibiliteit, gecombineerd met hun efficiënte stroomkenmerken, maakt PFRS een voorkeursoptie voor grootschalige continue verwerking.Als gevolg hiervan worden ze veel gebruikt in processen zoals polymerisatie, hydrogenering en katalytische reacties, waarbij het handhaven van een gecontroleerde reactieomgeving nodig is voor productkwaliteit en procesefficiëntie.
Plugstroomreactoren (PFR's) bieden verschillende voordelen voor chemische transformaties.Ze bieden precieze reactiecontrole door een gestage stroomsnelheid te handhaven en terugmixing te voorkomen, zodat elke plug van reactant consistente reactieomstandigheden ervaart.Dit verbetert de efficiëntie en minimaliseert bijproducten, wat belangrijk is voor gevoelige reacties zoals alcoholoxidatie of pigmentproductie.PFRS levert ook een hoge productzuiverheid en consistentie, omdat alle reactanten dezelfde reactietijd en omstandigheden ondergaan.Door terugmixing te voorkomen, verbeteren ze de selectiviteit en verminderen ze ongewenste zijreacties, waardoor ze ideaal zijn voor complexe chemische processen.Bovendien ondersteunen PFR's continue productie, het minimaliseren van downtime en het verlagen van de kosten, wat de efficiëntie in grootschalige productie verbetert.Hun schaalbaarheid en flexibiliteit zorgen voor een eenvoudige aanpassing van de stroomsnelheden en reactorafmetingen, waardoor consistente resultaten van pilootschaal tot volledige productie worden gewaarborgd.Deze voordelen maken van PFRS een voorkeurskeuze voor gecontroleerde chemische transformaties in industrieën die een hoge precisie en efficiëntie vereisen.
Plugstroomreactoren (PFR's) zijn ontworpen om een uniforme stroom te behouden, zodat alle reactantdeeltjes met dezelfde snelheid door de reactor reizen.Deze uniformiteit garandeert dat elke oneindige stekker van vloeistof, die reactantmoleculen, identieke verblijftijden bevat terwijl deze van de inlaat naar de uitlaat beweegt.Als gevolg hiervan wordt elk molecuul dat de reactor binnenkomt blootgesteld aan consistente reactieomstandigheden, inclusief temperatuur-, druk- en concentratiegradiënten, naarmate het door de reactieroute vordert.Dit uniforme stroompatroon minimaliseert variaties in reactiesnelheden, wat leidt tot meer voorspelbare en controleerbare chemische transformaties.En omdat er geen laterale menging binnen elke plug is, blijft het concentratieprofiel scherp gedefinieerd langs de lengte van de reactor, waardoor nauwkeurige controle over reactiekinetiek en conversiepercentages mogelijk is.Dit kenmerk maakt PFR's voordelig voor het uitvoeren van reacties die strikt verblijftijdbeheer vereisen om optimale opbrengsten te bereiken.
Het plugstromingspatroon in PFR's elimineert effectief rugmixing of recirculatie van reactanten, een veel voorkomend probleem in andere reactortypen zoals continue geroerde tankreactoren (CSTR's).Door het voorkomen van interactie tussen reactanten in verschillende stadia van conversie, verbeteren PFR's de reactie -efficiëntie en zorgen voor een meer uniforme productsamenstelling.Dit gebrek aan rugmixing minimaliseert ook de vorming van ongewenste bijproducten, omdat reactanten niet voortijdig kunnen interageren met meer geavanceerde reactie-tussenproducten of eindproducten.De resulterende uniforme reactieomgeving is gunstig voor complexe chemische systemen voor selectiviteit en productzuiverheid.Bijgevolg worden PFR's veel gebruikt in industrieën die een zeer nauwkeurige chemische synthese vereisen, zoals farmaceutische producten en speciale chemicaliën.Hun vermogen om consistente reactieomstandigheden te handhaven en tegelijkertijd kruisbesmetting tussen reactiefasen te voorkomen, toont hun belang in moderne chemische engineeringprocessen.
In een plugstroomreactor (PFR) is de tijd die elke groep reactantmoleculen in de reactor doorbrengt consistent, wat erg belangrijk is voor het krijgen van de beste reactiesnelheden en hoge conversie -efficiëntie.In een PFR komen reactanten binnen als afzonderlijke pluggen die met dezelfde snelheid door de reactor bewegen, wat betekent dat elke plug dezelfde omstandigheden ervaart, zoals temperatuur en druk, terwijl deze doorgaat.Deze zelfs blootstelling zorgt voor nauwkeurige controle over hoe ver de reactie gaat en welke producten worden gemaakt.Omdat elke plug dezelfde behandeling krijgt, worden de kansen op ongewenste zijreacties of variaties in de productkwaliteit sterk verminderd.Dit maakt PFR's nuttig voor reacties die gevoelig zijn voor veranderingen in temperatuur, druk of tijd.Door een stabiele en voorspelbare omgeving te bieden, helpen PFR's consistente en betrouwbare reactieresultaten te bereiken, wat leidt tot geoptimaliseerde reactiesnelheden.
PFR's voorkomen ook het mengen van reactanten langs het stroompad, wat helpt bij het effectiever regelen van de reactie.In tegenstelling tot continue geroerde tankreactoren (CSTR's), waarbij de reactanten continu worden gemengd, behouden PFR's een gestage stroom waar reactanten vooruit bewegen zonder te mengen met de pluggen achter of voor hen.Dit zorgt ervoor dat de reactanten geleidelijk worden omgezet in producten terwijl ze door de reactor bewegen, wat helpt om overreactie of onderreactie te voorkomen.Deze precieze controle over reactietijd en concentratie verbetert de selectiviteit voor het gewenste product, wat resulteert in hogere opbrengsten en een betere algehele efficiëntie.Dit niveau van controle is belangrijk voor complexe reacties die tussenliggende soorten produceren, omdat het zorgvuldig beheer van deze tussenproducten mogelijk maakt om ongewenste zijreacties te voorkomen.Daarom worden PFR's veel gebruikt in industrieën waar hoge selectiviteit, productiviteit en consistente productkwaliteit vereist zijn.
Het stabiele stromingspatroon kenmerk van plugstroomreactoren (PFR's) zorgt voor uniforme temperatuur- en drukprofielen over de gehele lengte van de reactor.Deze uniformiteit is goed bij het voorkomen van gelokaliseerde hotspots of koude zones die de reactiesnelheden en productkwaliteit negatief kunnen beïnvloeden.In chemische processen kunnen temperatuurvariaties leiden tot ongelijke reactiesnelheden, waardoor de vorming van ongewenste bijproducten of inconsistente productopbrengsten wordt veroorzaakt.Door een consistent temperatuurprofiel te handhaven, maken PFR's een nauwkeuriger controle over reactiekinetiek mogelijk, waardoor de chemische reacties met de beoogde snelheid doorgaan.Deze controle is gunstig voor zeer exotherme of endotherme reacties, waarbij zelfs kleine temperatuurschommelingen kunnen leiden tot weggelopen reacties of onvolledige conversies.De uniforme temperatuurverdeling draagt bij aan verbeterde veiligheid, productconsistentie en algemene procesbetrouwbaarheid.
Naast temperatuuruniformiteit zorgt het stabiele stromingspatroon in PFR's ook voor consistente drukprofielen langs de lengte van de reactor.Een stabiele drukomgeving helpt de gewenste stroomsnelheden en reactantconcentraties te behouden voor het bereiken van een optimale conversie -efficiëntie.Deze consistentie verbetert de efficiëntie van warmte en massaoverdracht, waardoor reactanten gelijkmatig kunnen communiceren met het katalysator of het reactiemedium.De verbeterde massaoverdracht minimaliseert concentratiegradiënten, die anders de reactiesnelheden en een lagere conversie -efficiëntie kunnen beperken.Uniforme druk en temperatuurprofielen verminderen de mechanische stress op de reactorwanden, verlengde apparatuur levensduur en het verlagen van de onderhoudskosten.Al met al maximaliseert het vermogen van PFR's om een gestage temperatuur- en drukomstandigheden te handhaven, de reactie van de reactie en productkwaliteit en zorgt u voor een veilige en betrouwbare werking.
Plugstroomreactoren (PFR's) bieden voordelen bij het regelen van de reactieselectiviteit vanwege hun consistente stroompatroon en de afwezigheid van rugmixing.In een PFR bewegen reactanten door de reactor als een plug en handhaven ze hun relatieve posities over de lengte van de reactor.Dit unidirectionele stromingspatroon zorgt voor een voorspelbare progressie van de chemische reactie, omdat reactanten gestaag worden geconsumeerd langs de lengte van de reactor.Naarmate de reactanten zijn uitgeput, wordt een concentratiegradiënt van nature vastgesteld, die continu de reactie vooruit drijft.Deze gradiënt zorgt ervoor dat de reactanten worden blootgesteld aan optimale reactieomstandigheden op elk punt langs de reactor, waardoor efficiënte conversiepercentages worden bevorderd.De geordende stroom minimaliseert de kans op voortijdige mengen van reactanten en producten, het behoud van de beoogde reactieroute en het verbeteren van de selectiviteit.De afwezigheid van rugmixing draagt niet alleen bij aan een betere controle over de reactieomgeving, maar helpt ook bij het handhaven van een scherpere overgang tussen reactantrijke en productrijke zones, waardoor de algehele reactieefficiëntie wordt geoptimaliseerd.
Dit stroomkenmerk is voordelig voor reacties die volgen op de eerste orde of hogere orde kinetiek, waarbij de reactiesnelheid direct wordt beïnvloed door reactantconcentraties.In dergelijke gevallen zorgt de concentratiegradiënt langs de reactorlengte ervoor dat de reactiesnelheid consistent hoog is waar de reactantconcentraties het grootst zijn, afbouwen als reactanten zijn uitgeput.Het gebrek aan radiaal mengen in PFRS garandeert dat alle reactantmoleculen uniform worden blootgesteld aan de katalysator of reactieomstandigheden, waardoor gelokaliseerde variaties kunnen leiden die kunnen leiden tot zijreacties of de vorming van ongewenste bijproducten.Deze uniforme blootstelling verbetert de selectiviteit voor het gewenste product, omdat het de kansen op concurrerende reacties vermindert die optreden onder verschillende concentratieomstandigheden.Door een gecontroleerde omgeving te handhaven en afwijkingen in reactantconcentraties te voorkomen, bieden PFR's superieure controle over reactieroutes, waardoor de opbrengst en productzuiverheid worden gemaximaliseerd.
Kiezen tussen een continue geroerde tankreactor (CSTR) en een plugstroomreactor (PFR) hangt af van de specifieke behoeften van een chemisch proces.Deze twee reactortypen hebben verschillende operationele principes en zijn geschikt voor verschillende reactiekinetiek.Het begrijpen van hun verschillen helpt bij het selecteren van de meest efficiënte reactor voor een bepaalde toepassing.
CSTR's (continue geroerde tankreactoren) zijn ontworpen om ideale mengomstandigheden te bereiken en te handhaven, zodat de concentratie, temperatuur en druk uniform blijven gedurende het gehele reactorvolume.Dit betekent dat alle reactanten die het systeem binnenkomen onmiddellijk en volledig gemengd zijn met de inhoud die al binnen is, wat te allen tijde naar een homogeen mengsel leidt.Vanwege deze goed gemengde aard heeft de uitgangsstroom die de reactor verlaat een identieke samenstelling met het interne reactiemengsel, waardoor een steady-state werking wordt gewaarborgd.Dit kenmerk is gunstig voor reacties die stabiele bedrijfsomstandigheden vereisen, omdat het nauwkeurige controle over reactieparameters mogelijk maakt.De goed gemengde omgeving vereenvoudigt kinetische modellering, omdat reactiesnelheden consistent blijven in de reactor.Deze voorspelbaarheid is voordelig voor exotherme reacties die een risico vormen op thermische wegloper, omdat efficiënte warmtedissipatie door de reactor de kans op gelokaliseerde hotspots minimaliseert.Als gevolg hiervan worden CSTR's vaak gebruikt in grootschalige industriële toepassingen, waarbij het handhaven van een gecontroleerde en uniforme reactieomgeving nodig is voor zowel veiligheid als efficiëntie.

Figuur 5. Vergelijking van ideale mengen versus gesegmenteerde stroom in reactoren
PFR's (plugstroomreactoren) werken daarentegen onder een gesegmenteerd of plugstroomregime, waarbij individuele vloeistofelementen of pluggen opeenvolgend door de reactor bewegen zonder zijdelings met elkaar te mengen.Dit stromingspatroon vormt een concentratiegradiënt langs de lengte van de reactor, wat betekent dat de reactantconcentraties het hoogst zijn bij de inlaat en geleidelijk afnemen als ze worden geconsumeerd in de reactie, terwijl productconcentraties toenemen naar de uitlaat.Omdat elke plug zijn afzonderlijke chemische samenstelling tijdens zijn reis behoudt, vordert de reactie op een gecontroleerde en voorspelbare manier langs de axiale richting van de reactor.In tegenstelling tot CSTR's, die onmiddellijk mengen veronderstellen, zorgen PFR's voor een geleidelijke transformatie van reactanten in producten, waardoor het gedrag van batchreactoren maar continu nadenkt.Dit stromingsgedrag is nuttig in reacties waarbij het minimaliseren van terugging van de rug nodig is om een hoge conversie-efficiëntie te bereiken.De afwezigheid van volledige mengen zorgt ervoor dat reactanten een gedefinieerde hoeveelheid tijd in de reactor doorbrengen, waardoor reactoren kunnen worden ontwerpt met geoptimaliseerde verblijftijden voor specifieke reacties.
De gesegmenteerde stroomkenmerken van PFR's bieden voordelen voor reacties die nauwkeurige controle vereisen over reactiekinetiek en productselectiviteit.Door de verdunning van tussenliggende soorten te voorkomen door middel van mengen, maken PFR's een betere manipulatie van reactieroutes mogelijk voor het optimaliseren van selectiviteit en het minimaliseren van de vorming van ongewenste bijproducten.Dit is belangrijk in industrieën zoals petrochemicaliën en geneesmiddelen, waarbij de zuiverheid van het eindproduct een belangrijke zorg is.De mogelijkheid om verschillende chemische samenstellingen binnen elke plug te handhaven, zorgt voor een efficiënter gebruik van katalysatoren, omdat reactanten tijdens hun progressie optimale omstandigheden ondervinden.Hoewel CSTR's het voordeel bieden van stabiele werking en gemak van controle, zijn PFR's beter geschikt voor scenario's waarbij het maximaliseren van de conversie en het handhaven van strikte kinetische controle prioriteiten zijn.De keuze tussen een CSTR en een PFR hangt af van de specifieke vereisten van de reactie, inclusief factoren zoals gewenste productopbrengst, warmtebeheer en reactietijdbeperkingen.
De stromingsdynamiek in een plugstroomreactor (PFR) kan conceptueel worden begrepen als een reeks extreem dunne, perfect gemengde continue geroerde tankreactoren (CSTR's) opeenvolgend gerangschikt langs de lengte van de reactor.Elk van deze miniatuur CSTR's zorgt voor volledige mengen in de radiale richting met behoud van een strikte scheiding in de axiale richting, wat betekent dat er geen achterwaartse menging is tussen verschillende segmenten.Dit unieke kenmerk zorgt voor het opzetten van een continue en geleidelijke concentratiegradiënt, waarbij de reactantconcentraties gestaag afnemen, terwijl de productconcentraties toenemen naarmate de reactie vordert van de inlaat naar de uitlaat.Vanwege dit ontwerp stimuleren PFR's effectief chemische reacties naar voren met een grotere efficiëntie, waardoor reactanten een gecontroleerde transformatie in producten ondergaan zonder het risico op terugvervallende reactievoortgang van de rug.Dit gesegmenteerde flowmodel is zeer gunstig voor het nauwkeurig simuleren van complexe reactiekinetiek, omdat het de reactiesnelheden mogelijk maakt en reactordimensies optimaliseert op basis van de tijdsafhankelijke evolutie van reactanten en producten.Het vermogen om de reactiecondities van de reactoren langs de reactorlengte nauwkeurig te regelen, maakt PFR's nuttig voor processen die specifieke reactiesequenties vereisen, zoals die met meerdere reactiestappen of tussenproducten die nauwkeurige blootstelling aan reactanten nodig hebben voordat ze naar de volgende fase gaan.
Aan de andere kant functioneren continue geroerde tankreactoren (CSTR's) onder het principe van volledige en uniforme menging over het gehele volume van de reactor, zodat alle reactante moleculen gelijkmatig worden verdeeld en blootgesteld aan identieke reactieomstandigheden.Deze volledige mengsels resulteert echter in een brede verblijftijdverdeling, wat betekent dat niet alle reactantmoleculen dezelfde hoeveelheid tijd binnen de reactor doorbrengen.Sommige moleculen kunnen het systeem te snel verlaten, voordat ze een volledige reactie ondergaan, terwijl anderen gedurende een langere periode in de reactor kunnen blijven, wat mogelijk leidt tot overreactie of ongewenste zijreacties.Deze variabiliteit in verblijftijd kan direct invloed hebben op de consistentie en kwaliteit van het eindproduct, waardoor CSTR's minder ideaal zijn voor reacties die nauwkeurige verblijftijdcontrole of hoge conversie -efficiëntie vereisen.In industriële toepassingen waar de uniformiteit van de reactie en de bewerkingen van de steady-state nodig zijn, blijven CSTR's een populaire keuze vanwege hun gemak en het vermogen om grootschalige continue productie aan te kunnen.Voor zeer selectieve reacties of die met meerdere reactiestappen, bieden PFR's echter vaak superieure prestaties door ervoor te zorgen dat reactanten een goed gedefinieerd en voorspelbaar reactiepad volgen zonder de onvoorspelbaarheid geassocieerd met brede verblijftijdverdelingen in CSTR's.
Continu geroerde tankreactoren (CSTR's) bieden een goed gemengde en stabiele reactieomgeving, waardoor ze voordelig zijn voor chemische processen die langzame reactiekinetiek inhouden of precieze thermische regulatie vereisen.Aangezien reactantconcentraties in de reactor constant blijven als gevolg van continu roeren, kunnen reactiesnelheden op gestage niveaus worden gehandhaafd, waardoor voorspelbare prestaties worden gewaarborgd.Dit is nuttig voor reacties waarbij het handhaven van een uniform concentratieprofiel nodig is om de vooruitgang van de reactie te ondersteunen, evenals voor evenwichtsgebonden reacties waarbij de aanvulling van de constante reactant gunstig is.De continue agitatie in een CSTR vergemakkelijkt een efficiënte warmteverdeling, waardoor gelokaliseerde temperatuurvariaties worden voorkomen die anders kunnen leiden tot reactie -instabiliteit of ongewenste zijreacties.Door uniforme thermische omstandigheden te handhaven, minimaliseren CSTR's de risico's geassocieerd met exotherme reacties, zoals plotselinge temperatuurpieken die de veiligheid of productkwaliteit in gevaar kunnen brengen.Dit vermogen om de temperatuur en concentratie met hoge precisie te reguleren, maakt CSTR's een voorkeurskeuze voor grootschalige industriële processen voor het waarborgen van productuniformiteit, het minimaliseren van zijreacties en het handhaven van de operationele veiligheid.
Plugstroomreactoren (PFR's) bieden daarentegen een duidelijk voordeel als het gaat om kinetische controle en reactieefficiëntie voor processen die een hoge selectiviteit en voorspelbare conversiepercentages vereisen.De unidirectionele stroom van reactanten door een PFR zorgt ervoor dat elk molecuul een goed gedefinieerd pad door de reactor volgt en een consistente verblijftijd ervaart zonder teruggaan of voortijdige verdunning.Deze gecontroleerde progressie van reactanten maakt nauwkeurige manipulatie van reactieomstandigheden mogelijk, wat belangrijk is voor snelle, onomkeerbare reacties waarbij reactanten volledige transformatie moeten ondergaan voordat de reactor wordt verlaten.De afwezigheid van rugmixing maakt ook een betere controle over tussenliggende soorten mogelijk, waardoor elke fase van de reactie zich onder optimale omstandigheden voordoet om de selectiviteit te maximaliseren.Door een gestage concentratiegradiënt te handhaven en een efficiënte reactieprogressie mogelijk te maken, bieden PFR's superieure prestaties voor processen die een hoge conversie -efficiëntie vereisen, waardoor ze de voorkeurskeuze zijn voor toepassingen waarbij het maximaliseren van opbrengst en productzuiverheid een topprioriteit is.
Continue geroerde tankreactoren (CSTR's) worden op grote schaal gebruikt in industriële processen voor het continu mengen en handhaven van uniforme reactieomstandigheden.Een van de meest voorkomende toepassingen van CSTR's is in fermentatieprocessen, waarbij micro -organismen of enzymen een consistente omgeving vereisen om een optimale metabole activiteit te behouden.De constante agitatie zorgt ervoor dat voedingsstoffen, zuurstof en andere reactanten gelijkmatig over het hele systeem worden verdeeld, waardoor gelokaliseerde uitputting wordt voorkomen die de microbiële groei of enzymatische efficiëntie kan belemmeren.CSTR's zijn zeer effectief voor het verwerken van zeer viskeuze vloeistoffen, zoals die aangetroffen in polymerisatiereacties, waarbij het handhaven van uniforme agitatie nodig is om consistente molecuulgewichtsverdeling te bereiken en gelokaliseerde gelvorming te voorkomen.Hun vermogen om precieze temperatuurregeling te bieden, is een andere sleutelfactor in hun industriële nut, voor exotherme reacties die een efficiënte warmtedissipatie vereisen om thermische wegloper te voorkomen.De homogene omstandigheden binnen een CSTR maken het een ideale keuze voor vloeistoffase-reacties, wanneer productkwaliteit en processtabiliteit belangrijk zijn.Industrieën die afhankelijk zijn van CSTR's omvatten farmaceutische producten, fijne chemicaliën, afvalwaterbehandeling en productie van voedsel en dranken, waar consistentie in reactieomstandigheden de productprestaties en de naleving van de regulerende rechtstreeks beïnvloedt.
Plugstroomreactoren (PFR's) zijn daarentegen de voorkeurskeuze voor processen die hoge conversiepercentages, precieze controle over reactiekinetiek en minimale rugmixing vereisen.Hun ontwerp maakt ze goed geschikt voor gasfase-reacties, zoals die welke worden gebruikt bij de productie van ammoniak, methanol en waterstof, waar het behoud van een gecontroleerde concentratiegradiënt geweldig is voor het optimaliseren van de opbrengst.PFR's spelen ook een rol bij katalytisch kraken, een belangrijk proces in de aardolie -industrie die wordt gebruikt om grote koolwaterstofmoleculen af te breken in meer waardevolle producten zoals benzine en diesel.Het unidirectionele stromingspatroon van PFRS ondersteunt een hoge reactie -efficiëntie door ervoor te zorgen dat reactanten een voorspelbare transformatie ondergaan, nevenreacties minimaliseren en de selectiviteit verbeteren.PFR's kunnen worden ontworpen als reactoren met verpakte bed, waarbij vaste katalysatoren of gestructureerde verpakkingsmaterialen de massa- en warmteoverdracht verbeteren, waardoor ze ideaal zijn voor katalytische en heterogene reacties.Met dit aanpassingsvermogen kunnen PFR's worden gebruikt in een breed scala van chemische productieprocessen, waaronder oxidatiereacties, polymeersynthese en speciale chemische productie.Hun vermogen om een hoge conversie-efficiëntie te bereiken met precieze kinetische controle maakt hen een kern van grootschalige industriële toepassingen, met name in de petrochemische, polymeer- en speciale chemische sectoren.
De afleiding van de vergelijking van de plugstroomreactor (PFR) is belangrijk om te begrijpen hoe PFR's efficiënt chemische reacties regelen door reactiekinetiek, temperatuur en druk nauwkeurig te beheren.Deze uitsplitsing verklaart de basisprincipes en wiskundige stappen die betrokken zijn bij het formuleren van de PFR -vergelijking, wat inzicht geeft in hoe deze reactoren hoge conversiepercentages en selectiviteit bereiken.
Een PFR werkt volgens het principe van continue en uniforme stroom.Reactanten komen aan het ene uiteinde binnen en bewegen op een plug-achtige manier door de reactor en gaan gestaag naar de uitlaat zonder teruggaande of radiale dispersie.Dit stroompatroon is vergelijkbaar met een zuiger die door een cilinder beweegt, waarbij elk vloeistofsegment zijn chemische identiteit behoudt en met dezelfde snelheid vordert.Deze uniforme beweging zorgt ervoor dat elk segment van reactant dezelfde verblijftijd ervaart, waardoor consistente reactieomstandigheden worden gehandhaafd.Deze consistentie is goed voor precieze kinetische controle, waardoor PFR's effectief zijn voor complexe reacties die nauwkeurige timing- en concentratiebeheer vereisen.
De werking van een PFR is gebaseerd op het toepassen van massa- en warmtebalans binnen een differentiaalvolume van de reactor.Door een klein stukje vloeistof te analyseren terwijl deze door de reactor beweegt, is het mogelijk om de chemische kinetiek te modelleren en productverdeling nauwkeurig te voorspellen.In een ideale PFR houdt de afwezigheid van rugmixen en radiale dispersie elk vloeistofsegment onderscheiden, waardoor de chemische geschiedenis wordt behouden.Dit unidirectionele stromingspatroon creëert een concentratiegradiënt langs de lengte van de reactor, de reactantconcentraties nemen af terwijl de productconcentraties toenemen.Deze gradiënt drijft de chemische reactie efficiënt naar voren.Massabalans wordt gebruikt om het verbruik van reactanten en de vorming van producten te volgen, terwijl warmtebalans verantwoordelijk is voor temperatuurveranderingen die de reactiesnelheden beïnvloeden.Voor de eenvoud neemt de afleiding vaak isotherme omstandigheden aan, gericht op massabalans en reactiekinetiek zonder de complexiteit van temperatuurvariaties.
De PFR -vergelijking is afgeleid van de massabalans op een differentiaalvolume van de reactor.Onder isotherme omstandigheden wordt de verandering in reactantconcentratie langs de lengte van de reactor in evenwicht gebracht door de reactiesnelheid.De differentiële vorm van de massabalansvergelijking is:

Waar:
𝐶𝑖 = Concentratie van reactant 𝑖 op positie 𝑥
𝑥 = Positie langs de lengte van de reactor
𝑟 = Reactiesnelheid, die afhankelijk is van reactantconcentraties en kinetiek
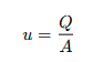
𝑢 = Constante vloeistofsnelheid
Deze vergelijking toont aan dat de verandering in reactantconcentratie direct gerelateerd is aan de reactiesnelheid en de snelheid van de vloeistof die door de reactor beweegt.Het biedt een precieze weergave van de reactiekinetiek binnen de PFR.Om deze differentiaalvergelijking op te lossen, worden de randvoorwaarden ingesteld op de inlaat van de reactor, waarbij de initiële concentratie van elke reactant bekend is:

De integratie wordt uitgevoerd van de inlaat (𝑥 = 0) naar de uitlaat (𝑥 = 𝐿), waarbij 𝐿 de totale lengte van de reactor is.Het oplossen van de vergelijking over deze lengte geeft het concentratieprofiel van elke reactant terwijl deze door de reactor beweegt.Dit concentratieprofiel maakt de voorspelling van exitconcentraties en algemene reactorprestaties mogelijk, waardoor reactoren ontwerpen die de gewenste productopbrengst en selectiviteit bereiken.

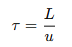
Door een constante snelheid te handhaven, zorgt de reactor ervoor dat alle vloeistofsegmenten dezelfde verblijftijd hebben voor het bereiken van consistente reactieomstandigheden.De gemiddelde verblijftijd (𝜏), een belangrijk ontwerp- en werkingsparameter, wordt berekend door:

Deze waarde vertegenwoordigt de gemiddelde tijd die een reactant in de reactor doorbrengt.Het is goed voor het afstemmen van de prestaties van de reactor, vooral voor snelle reacties of die gevoelig voor blootstellingstijd.Door 𝜏 aan te passen, kunt u de conversiepercentages en productopbrengsten optimaliseren.
Een onomkeerbare reactie van de eerste orde in een plugstroomreactor (PFR) omvat een enkele reactant die ontleedt in een product zonder enige achterwaartse reactie.Dit reactietype is belangrijk in chemische technologie, omdat het veel ontledings- en isomerisatieprocessen modelleert.In dit voorbeeld wordt reactant 𝐴 omgezet in product 𝐵 na de eerste-orde kinetiek.In dit gedeelte wordt uitgelegd hoe het ontwerp van de PFR de efficiëntie en selectiviteit van de reactie verbetert.
In een PFR wordt de reactie weergegeven als:
𝐴 → 𝐵
Dit geeft aan dat reactant 𝐴 onomkeerbaar transformeert in product 𝐵 volgens de eerste-orde kinetiek, wat betekent dat de reactiesnelheid recht evenredig is met de concentratie van 𝐴.Dit eenvoudige model wordt veel gebruikt in industriële chemische processen om te zorgen voor een volledige conversie van 𝐴 tot 𝐵 onder de juiste omstandigheden.De continue, unidirectionele stroom van de PFR zonder rugmixen biedt een ideale omgeving voor reacties van de eerste orde.Elke plug van reactant beweegt door de reactor met een constante snelheid, behoudt zijn chemische identiteit en ervaart dezelfde reactieomstandigheden.Deze consistentie ondersteunt een hoge conversie -efficiëntie en precieze controle over productselectiviteit.De regerende vergelijking voor een onomkeerbare reactie van de eerste orde in een PFR is afgeleid van een massabalans op een differentiaal reactorsegment.Het wordt uitgedrukt als:

Waar:
𝐶𝐴 = Concentratie van reactant 𝐴 op positie 𝑥
𝑥 = Positie langs de lengte van de reactor
𝑘 = Reactiesnelheid constant, wat de snelheid van de reactie aangeeft
𝑢 = Constante vloeistofsnelheid door de reactor
Deze vergelijking toont aan dat de snelheid van verandering van 𝐴's concentratie langs de lengte van de reactor afhangt van de eerste-orde kinetiek, waarbij het negatieve teken het verbruik van 𝐴 aangeeft.De afwezigheid van rugmixing in de PFR zorgt ervoor dat elk differentiaal segment zich gedraagt als een kleine batchreactor, waardoor de wiskundige modellering van de reactie wordt vereenvoudigd.Om het concentratieprofiel van 𝐴 langs de reactor te vinden, is de differentiaalvergelijking geïntegreerd met de grensconditie dat de initiële concentratie bij de inlaat bekend is:

De oplossing voor de differentiaalvergelijking is:

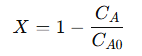
Deze vergelijking beschrijft hoe de concentratie van 𝐴 exponentieel afneemt als deze door de reactor beweegt.De snelheid van dit exponentiële verval hangt af van de constante reactiesnelheid (𝑘) en de vloeistofsnelheid (𝑢).Deze relatie laat zien hoe reactorontwerpparameters zoals lengte (𝐿), stroomsnelheid en reactiesnelheidconstante, beïnvloeden het concentratieprofiel.Het verhogen van de reactorlengte of het verlagen van de stroomsnelheid biedt bijvoorbeeld meer verblijftijd, waardoor meer 𝐴 kan worden omgezet in 𝐵.Omgekeerd vermindert een hogere stroomsnelheid de contacttijd, wat resulteert in een lagere conversie.De totale conversie -efficiëntie (𝑋) van reactant 𝐴 wordt gedefinieerd als de fractie van 𝐴 die reageert langs de lengte van de reactor:

Waar:
𝐿 = Totale lengte van de reactor
𝑋 = Conversie -efficiëntie van 𝐴
Deze vergelijking toont aan dat het verhogen van de reactorlengte (𝐿) of de snelheidsconstante (𝑘) de conversie -efficiëntie verbetert, terwijl een hogere vloeistofsnelheid (𝑢) deze vermindert.Deze formule illustreert ook het voordeel van het plugstroompatroon: de uniforme verblijftijd zorgt ervoor dat alle reactantpluggen dezelfde reactieomstandigheden ervaren, wat leidt tot voorspelbare en consistente conversiepercentages.
Een tweede-orde onomkeerbare reactie in een plugstroomreactor (PFR) omvat een reactiesnelheid die afhankelijk is van het kwadraat van de concentratie van de reactant.Dit type reactie is gebruikelijk in processen zoals polymerisatie en dimerisatie.Inzicht in hoe PFR's omgaan met deze reacties helpt bij het ontwerpen van efficiënte reactoren met hoge conversiepercentages en selectiviteit.In een PFR omvat een typische onomkeerbare reactie van de tweede orde twee moleculen reactant 𝐴 combineren om een product te vormen 𝐵, weergegeven als:
2a → B
Deze reactie is onomkeerbaar, wat betekent dat zodra 𝐴 is omgezet in 𝐵, deze niet terugkeert.Het continue, uniforme stroompatroon van de PFR verbetert deze conversie door de consistente snelheid en verblijftijd in de reactor te handhaven.Dit ontwerp zorgt ervoor dat elke plug van reactant dezelfde reactieomstandigheden ervaart, waardoor de conversie -efficiëntie wordt gemaximaliseerd.De regerende vergelijking voor deze reactie is afgeleid van een massabalans op een klein segment van de reactor, uitgaande van geen rugmixen of radiale dispersie:

Waar:
𝐶𝐴 = Concentratie van reactant 𝐴 op positie 𝑥
𝑥 = Positie langs de lengte van de reactor
𝑘 = Snelheid constant, wat de reactiesnelheid aangeeft
𝑢 = Constante vloeistofsnelheid
De factor 2 verklaart de stoichiometrie, waarbij twee mol 𝐴 𝐴 wordt geconsumeerd om één mol van 𝐵 te vormen.
Deze vergelijking toont aan dat de snelheid van verandering van 𝐴's concentratie evenredig is met het kwadraat van de huidige concentratie, een kenmerk van de tweede-orde kinetiek.Dit leidt tot een snelle afname van 𝐴 naarmate de reactie vordert, vooral bij hoge concentraties.Om het concentratieprofiel van 𝐴 langs de reactor te vinden, wordt de differentiaalvergelijking geïntegreerd uit de inlaat, waarbij de initiële concentratie 𝐶𝐴0 is, tot elk punt 𝑥 langs de reactor:

Deze oplossing laat zien dat de concentratie van 𝐴 hyperbolisch afneemt, in tegenstelling tot het exponentiële verval dat wordt gezien bij reacties van de eerste orde.De snelheid van deze daling hangt af van de constante reactiesnelheid (𝑘), de reactorlengte (𝑥) en de vloeistofsnelheid (𝑢).Deze relatie benadrukt de impact van operationele parameters op de concentratie van de reactant en de algehele conversie -efficiëntie.Bijvoorbeeld:
• Het verhogen van de reactorlengte (𝑥) of de snelheidsconstante (𝑘) verhoogt de conversie door meer tijd te bieden of de reactie te versnellen.
• Hogere vloeistofsnelheid (𝑢) vermindert de verblijftijd, wat leidt tot lagere conversie.
Dit model helpt te voorspellen hoe aanpassingen in reactorontwerp en bedrijfsomstandigheden de productopbrengst en selectiviteit beïnvloeden.
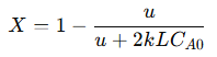
De totale conversie -efficiëntie (𝑋) van reactant 𝐴 wordt berekend als de fractie van 𝐴 omgezet in product 𝐵 langs de lengte van de reactor:

Het vervangen van het geïntegreerde concentratieprofiel geeft:

Waar:
𝐿 = Totale lengte van de reactor
𝐶𝐴0 = Initiële concentratie van 𝐴
𝑋 = Conversie -efficiëntie van 𝐴
Deze vergelijking laat zien dat de conversie -efficiëntie toeneemt met:
• Langere reactorlengte (𝐿), wat de verblijftijd verhoogt.
• Hogere initiële concentratie (𝐶𝐴0), die de reactiesnelheid verhoogt.
• Grotere snelheidsconstante (𝑘), wat de reactie versnelt.
Omgekeerd vermindert een hogere vloeistofsnelheid (𝑢) de omzetting door de tijdreactanten door te brengen in de reactor.Deze inzichten maken het mogelijk om de reactorprestaties te optimaliseren door stroomsnelheden, reactorlengte en bedrijfstemperaturen aan te passen (die van invloed zijn op 𝑘).
Inzicht in onomkeerbaar reactiegedrag van de tweede orde is goed voor het ontwerpen van plugstroomreactoren (PFR's) om de productopbrengst te maximaliseren, terwijl reactantafval wordt geminimaliseerd.Aangezien reactiesnelheden in kinetiek van de tweede orde afhankelijk zijn van de concentratie van twee reactanten, kan het optimaliseren van reactorparameters de totale conversie-efficiëntie beïnvloeden.Een belangrijke factor die de conversie beïnvloedt, is de reactorlengte door de lengte van de PFR te verlengen, reactanten hebben een langere verblijftijd, waardoor de reactie verder naar voltooiing kan gaan voordat het systeem wordt verlaten.Evenzo verhoogt het verlagen van de stroomsnelheid de verblijftijd, waardoor reactanten meer kansen zijn om te interageren en gewenste producten te vormen.Een andere parameter is de temperatuur, die direct de constante reactiesnelheid (𝑘) beïnvloedt.Het verhogen van de temperatuur verhoogt de snelheidsconstante, waardoor de reactie wordt versneld en de conversie -efficiëntie wordt verbeterd.U moet echter zorgvuldig de temperatuuraanpassingen in evenwicht brengen om ongewenste zijreacties of thermische afbraak van gevoelige verbindingen te voorkomen.Deze principes zorgen voor nauwkeurige controle over de reactieomstandigheden, waardoor industrieën de PFR-activiteiten voor specifieke productiedoelen kunnen verfijnen.
Het vermogen om de reactiekinetiek van de tweede orde met precisie te beheersen is voordelig in industrieën waar productkwaliteit, consistentie en efficiëntie geweldig zijn.In polymerisatieprocessen, bijvoorbeeld, zorgt het handhaven van optimale monomeerconcentraties in de reactor ervoor dat polymeren consistente molecuulgewichtsverdelingen en gewenste fysische eigenschappen bereiken.Zelfs kleine variaties in concentratie- of reactieomstandigheden kunnen leiden tot inconsistenties in de polymeerstructuur, waardoor materiaalsterkte, elasticiteit of duurzaamheid wordt beïnvloed.Evenzo zijn in fijne chemische en farmaceutische productie reactieselectiviteit en zuiverheid geweldig om producteffectiviteit en veiligheid te waarborgen.
Het analyseren van massabalans in een plugstroomreactor (PFR) onder steady-state omstandigheden is goed voor het begrijpen van de efficiëntie ervan en het optimaliseren van de prestaties in verschillende chemische processen.In een PFR stromen reactanten continu en uniform van de inlaat naar de uitlaat zonder rugmixen of radiale dispersie.Dit consistente stroompatroon maakt nauwkeurige controle over reactantconcentraties en reactiesnelheden mogelijk, waardoor PFR's zeer effectief zijn voor complexe chemische reacties.
In een plugstroomreactor (PFR) volgt de beweging van reactanten een stabiel, unidirectioneel pad, waardoor elk individueel vloeistofelement zijn chemische identiteit en reactiegeschiedenis behoudt naarmate het door de reactor vordert.In tegenstelling tot reactoren die het mengen bevorderen, zoals continue geroerde tankreactoren (CSTR's), werkt een PFR onder het principe dat elk vloeistofsegment duidelijk blijft, waardoor laterale menging met aangrenzende segmenten wordt voorkomen.Dit kenmerk betekent dat reactantconcentraties en reactiesnummers continu variëren langs de lengte van de reactor, in plaats van gemiddeld te worden door turbulente menging.Vanwege deze plug-achtige beweging ondergaan reactanten op elk punt in de reactor een reactie onder goed gedefinieerde omstandigheden, waardoor een meer gecontroleerde en voorspelbare transformatie van reactanten naar producten mogelijk is.De resulterende concentratie en temperatuurgradiënten langs de lengte van de reactor spelen een rol bij het regelen van de reactiekinetiek en de algehele efficiëntie van het proces.
De uniforme en voorspelbare aard van stroming in een PFR biedt verschillende voordelen, met name voor reacties die zeer gevoelig zijn voor schommelingen in concentratie of temperatuur.Door het elimineren van back-mixen, zorgt de reactor ervoor dat de verblijftijd voor elk reactantmolecuul nauwkeurig wordt gecontroleerd, waardoor meer nauwkeurige voorspellingen van reactievoortgang en productvorming mogelijk zijn.Deze functie is handig bij het optimaliseren van productselectiviteit, omdat bepaalde reacties de voorkeur kunnen geven aan specifieke omstandigheden die zorgvuldig kunnen worden onderhouden over de lengte van de reactor.De afwezigheid van interne mixen vereenvoudigt wiskundige modellering, waardoor het gemakkelijker is om kinetische modellen en ontwerpreactoren te ontwikkelen voor maximale efficiëntie.Deze gestroomlijnde benadering van reactie -engineering verbetert niet alleen de prestaties, maar vermindert ook de complexiteit geassocieerd met het opschalen van processen voor industriële toepassingen.
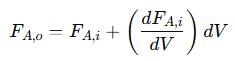
De massabalansvergelijking voor een PFR wordt afgeleid door een klein differentiaalvolume (𝑑𝑉) van de reactor te analyseren.Deze benadering beschouwt de stroom van reactant 𝐴 in en uit dit volume, samen met de snelheid waarmee het reageert.Onder stabiele omstandigheden is er geen accumulatie van 𝐴 binnen 𝑑𝑉, wat betekent dat de instroomsnelheid gelijk is aan de uitstroomsnelheid die is aangepast voor de door de reactie verbruikte hoeveelheid.De algemene massabalansvergelijking is:

Waar:
𝐹𝐴, 𝑖 = Molaire stroomsnelheid van reactant 𝐴 Het differentiële volume invoeren
𝐹𝐴, 𝑜 = Molaire stroomsnelheid van 𝐴 verlaat het differentiaalvolume
𝑟′𝐴 = Reactiesnelheid per volume -eenheid voor 𝐴
𝑑𝑉 = Differentiaal volume -element
Deze vergelijking toont aan dat de afname van de stroomsnelheid van 𝐴 te wijten is aan het verbruik binnen het volume 𝑑𝑉.Aangezien er geen back-mixing is, behoudt elke plug van reactant zijn concentratie terwijl deze naar voren beweegt, waarbij het plugstroompatroon wordt gehandhaafd.
Om de molaire stroomsnelheid van de uitlaat te relateren aan de inlaatstroomsnelheid, wordt de continuïteitsvergelijking gebruikt:

Dit vervangen door de massabalansvergelijking geeft:

Dit toont aan dat de verandering in molaire stroomsnelheid van 𝐴 recht evenredig is met de reactiesnelheid.Het negatieve teken geeft het verbruik van 𝐴 aan terwijl het wordt omgezet in producten.Deze relatie benadrukt hoe de reactiesnelheid het concentratieprofiel van 𝐴 over de lengte van de reactor beïnvloedt.Het integreren van deze differentiaalvergelijking langs de lengte van de reactor biedt de algemene expressie voor de reactiesnelheid van 𝐴:

Dit toont aan dat de reactiesnelheid evenredig is met de verandering in molaire stroomsnelheid van 𝐴 langs de reactor.Het negatieve teken weerspiegelt de afname van 𝐴 terwijl het reageert om producten te vormen.Deze geïntegreerde vorm van de massabalansvergelijking maakt het mogelijk om het concentratieprofiel van 𝐴 in de reactor te berekenen, waardoor nauwkeurige voorspellingen van productopbrengsten en totale conversie -efficiëntie mogelijk zijn.
Voor meer complexe reacties, zoals een bimoleculaire reactie 𝐴+𝐵 → 𝐶+𝐷, kunnen de massabalansvergelijkingen worden uitgebreid om rekening te houden met alle reactanten en producten.Voor elke soort zijn de differentiaalvergelijkingen:
• Voor reactant 𝐴:

• Voor reactant 𝐵:

• Voor product 𝐶:

• Voor product 𝐷:

Negatieve tekenen geven het verbruik van reactanten aan, terwijl positieve tekenen de vorming van producten aangeven.Deze vergelijkingen bieden een volledige massabalans voor complexe reactienetwerken, waardoor precieze modellering van reactiekinetiek en productverdeling mogelijk is.
In een plugstroomreactor (PFR) vereenvoudigt er geen volumetrische stroomvariatie de wiskundige modellering van chemische reacties aan.Deze veronderstelling is nuttig voor gasfase-reacties onder constante temperatuur en druk (isothermische en isobarische omstandigheden) en voor vloeistoffase-reacties waarbij de vloeistofdichtheid constant blijft.Door een gestage stroomsnelheid in de reactor te handhaven, worden berekeningen voor reactiekinetiek, conversie -efficiëntie en productverdeling eenvoudiger en betrouwbaarder.
Ervan uitgaande dat de volumetrische stroomsnelheid (𝑄) constant blijft in de PFR, vereenvoudigt de analyse van chemische reacties.Deze constante stroom zorgt ervoor dat de vloeistofsnelheid uniform is langs de gehele reactorlengte, wat leidt tot consistente verblijftijden voor alle vloeistofelementen.Deze uniformiteit is goed voor het handhaven van het plugstroompatroon, waarbij elk vloeistofsegment naar voren beweegt als een zuiger, zonder teruggaande of radiale dispersie.
Dit gestage stromingspatroon zorgt ervoor dat veranderingen in reactantconcentraties alleen in de axiale richting optreden, waardoor de chemische reactie efficiënt naar voren drijft.Het behoudt ook de chemische identiteit van elk vloeistofsegment, waardoor nauwkeurige controle over reactieomstandigheden en kinetiek mogelijk is.Dit is voordelig voor reacties die een nauwkeurige verblijftijd en temperatuurregeling vereisen.Onder de veronderstelling van constante volumetrische stroom blijft de stroomsnelheid op elk punt in de reactor hetzelfde van de inlaat naar de uitlaat:
Q i = qo = q
Deze steady-state conditie betekent dat de stroomparameters consistent zijn over de lengte van de reactor, waardoor de massabalansvergelijking wordt vereenvoudigd.Hiermee kan de analyse zich concentreren op molaire stroomsnelheden en concentratieveranderingen van reactanten en producten zonder variaties in snelheid of volume te overwegen.De molaire stroomsnelheid van een reactant 𝐴 op elke positie 𝑥 langs de reactor wordt gegeven door:

Waar:
𝐹𝐴, 𝑖 = Molaire stroomsnelheid van 𝐴 het differentiaalvolume -element invoeren 𝑑𝑉
[A] i = Concentratie van 𝐴 op positie 𝑥
𝑄 = Constante volumetrische stroomsnelheid
Deze vergelijking verbindt de molaire stroomsnelheid van reactant 𝐴 met zijn concentratie en de volumetrische stroomsnelheid.Omdat 𝑄 constant is, zijn veranderingen in 𝐹𝐴, 𝑖 direct gerelateerd aan veranderingen in [𝐴] 𝑖.De reactiesnelheid voor reactant 𝐴, aangegeven door 𝑟′𝐴, beschrijft de snelheid waarmee 𝐴 wordt geconsumeerd langs de lengte van de reactor.Het wordt berekend met behulp van de differentiële verandering in de molaire stroomsnelheid:

Het negatieve teken geeft het verbruik van reactant aan 𝐴 aan omdat het wordt omgezet in producten.Deze relatie toont aan dat de reactiesnelheid recht evenredig is met de concentratiegradiënt langs de reactor.Omdat 𝑄 constant is, verandert de concentratie alleen in de axiale richting en zorgt ervoor dat de reactie soepel verloopt van de inlaat naar de uitlaat.Dit unidirectionele stromingspatroon helpt consistente reactieomstandigheden te behouden, wat leidt tot voorspelbare productopbrengsten en hoge conversie -efficiëntie.Door deze differentiaalvergelijking langs de lengte van de reactor te integreren, is het mogelijk om te berekenen hoe de concentratie van 𝐴 verandert van de inlaat naar de uitlaat:

Deze integratie biedt een concentratieprofiel van 𝐴 langs de reactor, waaruit blijkt hoeveel reactant wordt geconsumeerd en hoeveel product wordt gevormd.Het toont ook de impact van reactorontwerpparameters zoals lengte, stroomsnelheid en reactiesnelheid constant op conversie -efficiëntie en productverdeling.Wiskundige modellen eenvoudig houden betekent minder variabelen, waardoor berekeningen gemakkelijker en simulaties sneller worden.Nauwkeurige concentratievoorspellingen helpen bij het ontwerpen van reactoren voor maximale efficiëntie en selectiviteit, waardoor optimale prestaties worden gewaarborgd.Consistente verblijftijden en stroomsnelheden zorgen voor nauwkeurige procescontrole, wat leidt tot betrouwbare productkwaliteit.Over het algemeen vereenvoudigt het aannemen van geen volumetrische stroomvariatie in PFRS chemische reactiemodellering met behoud van de nauwkeurigheid, waardoor het een belangrijk hulpmiddel is voor efficiënt reactorontwerp en -bewerking.
Plugstroomreactoren (PFR's) worden veel gebruikt in chemische verwerking vanwege hun unieke ontwerp, dat zorgt voor de continue en uniforme beweging van reactanten.Dit ontwerp zorgt voor nauwkeurige controle over reactiekinetiek en verblijftijden, waardoor PFR's voor veel chemische processen zeer efficiënt worden.Ze hebben echter ook beperkingen waarmee rekening moet worden gehouden, afhankelijk van de aanvraag.Deze sectie onderzoekt de voor- en nadelen van PFR's.
Plugstroomreactoren (PFR's) staan bekend om hun hoge conversie -efficiëntie, wat het gevolg is van hun unieke stroomkenmerken.In tegenstelling tot andere reactortypen, zorgen PFR's ervoor dat reactanten in een enkele richting bewegen zonder enige rug te mixen.Dit betekent dat zodra een vloeistofelement de reactor binnenkomt, het blijft stromen zonder te mengen met andere delen van de vloeistof.Vanwege deze gecontroleerde beweging blijft de chemische samenstelling op elk gegeven punt in de reactor duidelijk en voorspelbaar.Een groot voordeel van deze stabiele stroom is dat het de woningverdeling van de verblijftijd minimaliseert, wat betekent dat alle reactantdeeltjes een gelijke hoeveelheid tijd in de reactor doorbrengen.Dientengevolge treedt de reactie uniform op over de gehele lengte van de reactor, waardoor de efficiëntie wordt verbeterd en PFR's nuttig worden voor processen die strikte controle over reactieomstandigheden vereisen.
Een andere reden voor de hoge conversie -efficiëntie van PFR's is hun vermogen om een stabiele concentratiegradiënt in de reactor te behouden.Omdat reactanten continu worden geconsumeerd naarmate ze door de reactor gaan, neemt de concentratie geleidelijk af langs het stroompad, wat kan helpen de reacties op voltooiing effectiever te stimuleren.Dit maakt PFR's efficiënter dan continue geroerde tankreactoren (CSTR's), waarbij constante menging kan leiden tot variaties in concentratie die de reactieefficiëntie kunnen verminderen.Voor reacties die zeer gevoelig zijn voor concentratieveranderingen of precieze timing vereisen, bieden PFR's een voordeel.Door een uniforme reactieomgeving te waarborgen, helpen ze de reactiesnelheden te optimaliseren, ongewenste bijproducten te minimaliseren en de productopbrengst te maximaliseren.
De gestructureerde stroom in plugstroomreactoren (PFR's) zorgt ervoor dat reactanten consistent worden blootgesteld aan dezelfde reactieomstandigheden als ze door de reactor bewegen.Deze gestage en uniforme blootstelling speelt een rol bij het minimaliseren van de vorming van ongewenste bijproducten, wat de efficiëntie van de reactie negatief kan beïnvloeden.Door deze ongewenste nevenreacties te verminderen, helpen PFR's de algehele selectiviteit van de reactie te verbeteren, waardoor ze nuttig zijn voor chemische processen die een hoge precisie vereisen.Dit is belangrijk in industrieën waar zelfs kleine variaties in chemische samenstelling kunnen leiden tot verschillen in productprestaties, zoals bij de productie van speciale chemicaliën en farmaceutische producten.Omdat elke plug van reactant met dezelfde snelheid beweegt en identieke reactieomstandigheden ervaart, verloopt de reactie op een gecontroleerde en voorspelbare manier.Dit niveau van consistentie zorgt ervoor dat de gewenste chemische transformatie optreedt zoals bedoeld, wat resulteert in een hogere opbrengst van het doelproduct, terwijl de behoefte aan extra zuiveringsstappen wordt geminimaliseerd.
Het vermogen van PFR's om een uniforme reactieomgeving te bieden, draagt direct bij aan verbeterde productconsistentie en verbeterde reactieefficiëntie.Omdat elk deel van de reactantstroom dezelfde route volgt en dezelfde reactieomstandigheden ondergaat, vertoont het eindproduct betrouwbare en herhaalbare kenmerken.Dit is gunstig voor processen waarbij het handhaven van strikte kwaliteitscontrole belangrijk is, omdat zelfs kleine variaties in temperatuur, druk of reactantconcentratie de uiteindelijke uitkomst kunnen veranderen.De hoge mate van selectiviteit in PFRS maakt ze ideaal voor reacties waarbij gevoelige tussenliggende soorten betrokken zijn, waar precieze controle over reactiekinetiek noodzakelijk is.Bovendien, omdat PFR's werken met een continue stroom, kunnen ze bovendien gemakkelijk worden opgeschaald voor industriële toepassingen zonder in gevaar te brengen de reactie -efficiëntie van de reactie.Deze schaalbaarheid, gecombineerd met hun vermogen om de reactieselectiviteit te verbeteren, maakt PFRS een voorkeurskeuze voor veel chemische productieprocessen, waardoor een consistente, hoogwaardige output in verschillende toepassingen wordt gewaarborgd.
Plugstroomreactoren (PFR's) werken op een continue manier, wat betekent dat ze niet vaak moeten worden gestopt en opnieuw worden opgestart.Deze continue operatie vermindert downtime, waardoor hogere productiesnelheden en verbeterde efficiëntie in chemische verwerking mogelijk zijn.Omdat PFR's geen mechanische agitatie vereisen, verbruiken ze minder energie in vergelijking met andere reactortypen die afhankelijk zijn van bewegende delen om reactanten te mengen.Lager energieverbruik vertaalt zich in lagere operationele kosten, waardoor PFRS een kosteneffectieve keuze is voor grootschalige productie.Hun vermogen om een steady-state operatie te handhaven zorgt ervoor dat chemische reacties op een voorspelbare manier verlopen, wat bijdraagt aan processtabiliteit.De afwezigheid van bewegende componenten vermindert ook onderhoudsbehoeften, het minimaliseren van onverwachte storingen en het verbeteren van de algehele betrouwbaarheid.Vanwege deze voordelen worden PFR's veel gebruikt in industrieën die consistente chemische verwerking met hoge doorvoer vereisen, terwijl energieverbruik en operationele kosten zo laag mogelijk worden gehouden.
Een ander groot voordeel van PFRS is hun gemak van het opschalen van laboratoriumexperimenten naar volledige industriële productie.Aangezien de reactieomstandigheden uniform blijven langs de gehele lengte van de reactor, kan toenemende productiecapaciteit worden bereikt door eenvoudig de lengte van de reactor te verlengen of meerdere parallelle buizen te gebruiken.Deze schaalbaarheid zorgt ervoor dat chemische fabrikanten hun activiteiten kunnen uitbreiden zonder grote wijzigingen aan het reactorontwerp.Het voorspelbare stromingspatroon binnen een PFR maakt het ook gemakkelijker om reactievariabelen te regelen, waardoor consistente productkwaliteit op verschillende productieschalen wordt gewaarborgd.Omdat elk gedeelte van de reactanten door de reactor beweegt zonder terug te mixen, blijft het reactieproces stabiel en uniform.Deze functie vereenvoudigt de procesoptimalisatie en zorgt voor een betere controle over reactieefficiëntie.Als gevolg hiervan kiezen industrieën die nauwkeurige controle over chemische reacties vereisen, vaak PFR's voor hun vermogen om consistentie en betrouwbaarheid op zowel kleine als grote schalen te behouden.
Het plugstroomontwerp helpt warmte en massa efficiënt over te dragen, waardoor reacties stabiel houden, vooral in processen die veel warmte afgeven of absorberen.Omdat er geen rugmixing is, verspreidt warmte zich gelijkmatig door de reactor en voorkomt het te warm of te koud gebieden.Deze zelfs warmteverdeling houdt reactiesnelheden stabiel en handhaaft een goede productkwaliteit.Als warmte ongelijk zou zijn, kan dit problemen veroorzaken zoals langzame reacties of ongewenste bijproducten.Door de temperatuur stabiel te houden, verbetert het plugstroomontwerp ook de veiligheid, waardoor het risico op gevaarlijke oververhitting wordt verminderd in reacties die veel warmte afgeven.Omdat de reactie onder controle blijft, loopt deze soepeler en efficiënter, wat leidt tot betere resultaten.Dit ontwerp zorgt er ook voor dat de reactie een gestaag en voorspelbaar pad volgt, dat de efficiëntie verbetert en het product zuiver houdt.Terwijl de reactanten door de reactor bewegen, gaan ze allemaal door dezelfde omstandigheden zonder te mengen met andere delen.Dit zorgt voor een betere controle over het proces en zorgt ervoor dat de reactie plaatsvindt zoals verwacht.Daarom wordt minder ongewenste bijproducten gemaakt en wordt er meer van het gewenste product gemaakt.Het vermogen van het plugstroomontwerp om warmte goed over te dragen, stabiele temperaturen te behouden en reacties te houden gecontroleerd, maakt het zeer nuttig voor industriële processen waar kwaliteit en efficiëntie belangrijk zijn.
Plugstroomreactoren (PFR's) zijn zeer nuttig omdat ze veel verschillende soorten chemische reacties kunnen verwerken.Ze werken goed voor snelle reacties, onomkeerbare reacties en gasfase-reacties omdat de reactanten soepel door de reactor in een gestage stroom bewegen.PFR's zijn ook geweldig voor reacties die vaste katalysatoren gebruiken, omdat de gelijkmatige stroom ervoor zorgt dat alle reactanten dezelfde blootstelling aan de katalysator krijgen.Dit helpt chemische reacties efficiënter op te treden en geeft meer consistente resultaten.Vanwege deze voordelen worden PFR's veel gebruikt in industrieën zoals petrochemicaliën en farmaceutische producten, waar precieze controle over reacties nodig is om producten van hoge kwaliteit te maken.Hun vermogen om reacties stabiel en efficiënt te houden, maakt ze een belangrijk hulpmiddel voor veel chemische processen.PFR's zijn ook zeer nuttig bij het maken van polymeren omdat ze de monomeerconcentraties tijdens de reactie stabiel houden.Dit is belangrijk voor het produceren van polymeren met uniforme eigenschappen, zoals consistente sterkte en duurzaamheid.De gladde stroom in een PFR vermindert variaties in concentratie- en reactietijd, wat leidt tot een betrouwbaarder eindproduct.Omdat PFR's continu werken, kunnen ze ook tijd besparen en de efficiëntie verbeteren in vergelijking met batchreactoren.Hun vermogen om verschillende reacties met nauwkeurigheid en betrouwbaarheid aan te pakken, maakt ze in veel industrieën waardevol.Of het nu wordt gebruikt voor katalyse, gasfase-reacties of polymeerproductie, PFR's bieden een betrouwbare en efficiënte manier om chemische reacties te regelen en de productkwaliteit te behouden.
Plugstroomreactoren (PFR's) werken het beste voor chemische reacties die in één richting bewegen en geen balans hoeven te keren of te bereiken.Ze zijn het meest effectief voor onomkeerbare reacties, waarbij reactanten in producten veranderen zonder terug te gaan.Aangezien PFR's een gestage stroom hebben, gaan de reactanten vooruit zonder terug te mengen met de producten.Deze opstelling is niet ideaal voor reacties die een evenwicht moeten bereiken omdat het gebrek aan mengen voorkomt dat de reactie zich onderweg aanpast.In deze gevallen kan een PFR de reactie niet toestaan om zijn volledige potentieel te bereiken, waardoor het minder effectief is voor bepaalde chemische processen.Sommige reacties vereisen meer tijd en mengen om de beste resultaten te krijgen, maar PFR's bieden deze flexibiliteit niet.Daarom kunnen sommige reacties mogelijk niet volledig voltooid zijn, wat leidt tot een lagere efficiëntie.Voor reacties die een betere mengen en langere reactietijden nodig hebben, kan een continue geroerde tankreactor (CSTR) of een ander type reactor beter werken.CSTR's roeren constant de inhoud, waardoor zelfs het mengen en de reactie in beide richtingen kan bewegen indien nodig.Dit maakt ze nuttig voor reacties die zorgvuldige controle vereisen om de beste opbrengst te krijgen.Hoewel PFR's geweldig zijn voor bepaalde reacties, zijn ze misschien niet de beste keuze wanneer een reactie meer tijd nodig heeft om in balans te komen of constant mengen vereist.Het kiezen van de juiste reactor hangt af van het type reactie en het gewenste resultaat.
Plugstroomreactoren (PFR's) hebben een gestage en goed gemengde feed nodig om reactiesnelheden en productkwaliteit consistent te houden.Als de voeding verandert in concentratie, temperatuur of druk, kan dit invloed hebben op hoe goed de reactor werkt.Ongelijke voedingskwaliteit kan leiden tot inconsistente conversiepercentages en variaties in het eindproduct.In industrieën waar precieze productkwaliteit belangrijk is, kunnen zelfs kleine veranderingen problemen veroorzaken zoals ongewenste zijreacties of lagere efficiëntie.Om deze problemen te voorkomen, is het belangrijk om de feed stabiel en goed gecontroleerd te houden.Een goed gereguleerd feed zorgt ervoor dat de reactor soepel werkt en betrouwbare resultaten oplevert.PFR's zijn zeer gevoelig voor veranderingen in voedingsomstandigheden, omdat elke variatie direct beïnvloedt hoe de reactie binnen de reactor plaatsvindt.Omdat reacties plaatsvinden naarmate het voer doorgaat, kan elke verandering in de eigenschappen leiden tot ongelijke verwerking en onvoorspelbare resultaten.Om dit te voorkomen, moeten operators de feed zorgvuldig controleren en regelen.Temperatuurverschuivingen, drukveranderingen of onzuiverheden kunnen de reactie verstoren en de efficiëntie verminderen.Het gebruik van geavanceerde bewakingssystemen helpt stabiele omstandigheden te handhaven, waardoor betere prestaties, hogere productkwaliteit en minder productieproblemen worden gewaarborgd.
In plug-stroomreactoren (PFR's) met verpakkingbedden helpen vaste katalysatoren of verpakkingsmaterialen chemische reacties aan te sturen.Channeling kan echter optreden wanneer de stroom van reactanten zich niet gelijkmatig door het verpakte bed verspreidt.In plaats van uniform te stromen, kunnen de reactanten bepaalde paden nemen, waarbij delen van de katalysator worden overgeslagen.Dit veroorzaakt een ongelijke reactie, waarbij sommige gebieden efficiënt werken, terwijl anderen dat niet doen.Als gevolg hiervan passeren sommige reactanten de reactor zonder volledig te reageren, waardoor de algehele efficiëntie wordt verminderd.Aangezien PFR's zelfs moeten stromen voor de beste prestaties, kan channeling een groot probleem zijn, vooral in industrieën die hoge conversiepercentages vereisen.Channeling leidt tot ongelijke reactiesnelheden en lagere algehele efficiëntie.Wanneer delen van het katalysatorbed worden omzeild, worden minder reactanten omgezet in producten, wat leidt tot verspilde materialen en lagere opbrengsten.Om dit te voorkomen, moet u reactoren zorgvuldig ontwerpen.Ze kunnen uniforme verpakking, stroomverdelers of speciale structuren gebruiken om de stroom gelijkmatig te verspreiden.Een goed ontwerp helpt kansen te minimaliseren, waardoor de reactor efficiënter is en de chemische productie verbetert.
Hoewel plugstroomreactoren (PFR's) een eenvoudig ontwerp hebben, waardoor ze groter zijn of het ontwerpen voor grootschalig gebruik kan behoorlijk lastig zijn.Wanneer ze een PFR opschalen, moeten ze ervoor zorgen dat de materiaalstroom soepel blijft en dat de reactieomstandigheden in de reactor hetzelfde blijven.Dit vereist zorgvuldige berekeningen om te begrijpen hoe vloeistoffen bewegen, hoe warmte zich verspreidt en hoe snel reacties plaatsvinden in het systeem.Deze factoren worden nog belangrijker in grote industriële omgevingen, waar kleine veranderingen in stroming of temperatuur de efficiëntie en productkwaliteit kunnen beïnvloeden.Als een PFR niet goed wordt opgeschaald, werkt deze misschien niet zo goed als verwacht, wat leidt tot problemen in de productie.Om een PFR op te schalen, maakt u deze vaak langer of zetten u meerdere reactoren naast elkaar in.Het is echter niet voldoende om de grootte te vergroten.Ze moeten de stroomsnelheden zorgvuldig aanpassen om ervoor te zorgen dat materialen op de juiste snelheid bewegen om de reactie te voltooien.Drukveranderingen in de reactor moeten ook worden geregeld om stroomproblemen te voorkomen.Een ander probleem is warmteoverdracht, omdat grotere reactoren kunnen worstelen om een gelijkmatige temperatuur te behouden, waardoor delen van de reactor oververhit raken of te veel kunnen afkoelen.Velen gebruiken geavanceerde methoden om deze factoren te beheren, zodat de grotere reactor net zo goed werkt als de originele kleinere versie.
Plugstroomreactoren (PFR's) kunnen vervuiling ontwikkelen, wat plaatsvindt wanneer vaste materialen zich in de reactor opbouwen.Deze afzettingen kunnen afkomstig zijn van overgebleven reactanten, bijproducten of onzuiverheden in het voer.Na verloop van tijd kan vervuiling de materiaalstroom blokkeren en warmteoverdracht minder effectief maken.Omdat temperatuurregeling belangrijk is voor reacties, kan dit het reactieproces vertragen of veranderen, waardoor de efficiëntie wordt verminderd.Om dit te voorkomen, is regelmatig schoonmaken nodig, maar dit kan kostbaar zijn en kan het stoppen of vertragen van bewerkingen.Als vervuiling niet wordt beheerd, kan dit ook langdurige schade aan reactoronderdelen veroorzaken, wat leidt tot nog duurdere reparaties.Naast vervuiling kunnen PFR's ook worden geconfronteerd met blokkades of verstoringen in de stroom.Deze reactoren hebben een gestage beweging van materialen nodig, dus elke blokkade kan problemen veroorzaken.Blokkades kunnen afkomstig zijn van vaste deeltjes, problemen met apparatuur of veranderingen in de toevoersamenstelling.Wanneer dit gebeurt, kan de druk veranderen en kan de reactie niet goed worden voltooid, wat leidt tot een lagere productkwaliteit.Ongelijke stroom kan ook de temperatuur- en concentratieniveaus in de reactor beïnvloeden, waardoor het proces minder efficiënt is.Om deze problemen te voorkomen, is constante monitoring nodig.Veel systemen gebruiken sensoren en bedieningselementen om de prestaties te volgen, maar deze dragen bij aan operationele kosten.Ondanks deze uitdagingen helpen regelmatig onderhoud en zorgvuldige monitoring PFR's soepel en efficiënt te laten werken.
Plugstroomreactoren (PFR's) worden veel gebruikt in chemische technologie vanwege hun efficiëntie en veelzijdigheid.Hun ontwerp zorgt voor unidirectionele stroom en consistente verblijftijden, waardoor precieze controle over reactiekinetiek en productverdeling mogelijk is.Dit maakt ze geschikt voor verschillende chemische reacties, waaronder gasfase, vloeistoffase, heterogene en homogene systemen.Hun schaalbaarheid en kosteneffectiviteit zijn waardevol in grootschalige industriële productie.
Plugstroomreactoren (PFR's) zijn belangrijk bij het maken van grote hoeveelheden chemicaliën zoals zwavelzuur, ethyleenoxide en methanol.Met hun ontwerp kunnen chemicaliën continu stromen, waardoor reacties versnellen en de productie verhoogt.Dit is nuttig voor industrieën die snel grote hoeveelheden chemicaliën moeten maken.PFR's bieden stabiele reactieomstandigheden, zodat het eindproduct puur en consistent is in kwaliteit.Door reactiesnelheden stabiel te houden en ongewenste bijproducten te verminderen, helpen PFR's de productie-efficiëntie te maximaliseren.Deze betrouwbaarheid is geweldig voor industrieën die afhankelijk zijn van precieze chemische processen om grote hoeveelheden efficiënt en tegen lagere kosten te produceren.PFR's maken ook de chemische productie efficiënter door het voorkomen van teruggaan en reacties uniform houden.Hun gestage stroom zorgt voor een betere controle over de reactieomstandigheden, waardoor de behoefte aan extra zuiveringsstappen wordt verminderd.Dit verlaagt de productiekosten en verlaagt afval, waardoor de activiteiten duurzamer worden.Vanwege hun vermogen om snel, consequent en met minimaal afval te produceren, worden PFR's veel gebruikt in industrieën die een hoog-volume chemische productie vereisen.Hun ontwerp maakt hen een voorkeurskeuze voor bedrijven die de efficiëntie en productkwaliteit willen verbeteren en tegelijkertijd de kosten onder controle houden.
In de petrochemische industrie worden plugstroomreactoren (PFR's) vaak gebruikt voor het verfijnen van processen zoals katalytisch kraken en hydrogenering.Hun precieze controle over reactieomstandigheden maakt de efficiënte productie mogelijk van waardevolle chemicaliën zoals ethyleen, propyleen en butadieen, die worden gebruikt bij het maken van kunststoffen en synthetische materialen.Omdat PFRS continu hoge volumes koolwaterstoffen verwerken, helpen ze raffinaderijen om soepel te werken en de productkwaliteit te behouden.De unidirectionele stroom in PFRS voorkomt teruggaande mixen, waardoor de zuiverheid van reactanten wordt behouden en de algehele efficiëntie wordt verbeterd.Een ander voordeel van PFR's in petrochemische verwerking is hun vermogen om warmte effectief aan te pakken, wat belangrijk is voor het verfijnen van reacties op de hoge temperatuur.Door een gestage temperatuur en druk te handhaven, helpen PFR's de opbrengsten te maximaliseren en tegelijkertijd ongewenste bijproducten te verminderen.Hun ontwerp maakt ze ook aanpasbaar voor zowel grootschalige raffinageactiviteiten als gespecialiseerde petrochemische productie.Vanwege hun efficiëntie, betrouwbaarheid en het vermogen om grote hoeveelheden materiaal zonder onderbreking te verwerken, spelen PFR's een rol in de petrochemische industrie, waardoor raffinaderijen aan de wereldwijde vraag kunnen voldoen en tegelijkertijd de energie -efficiëntie verbeteren.
Plugstroomreactoren (PFR's) worden veel gebruikt bij het maken van medicijnen, vooral bij de productie van actieve farmaceutische ingrediënten (API's).Hun vermogen om precieze reactieomstandigheden te handhaven, zorgt ervoor dat medicijnen worden geproduceerd met een hoge zuiverheid en consistentie.Omdat alle moleculen in een PFR dezelfde reactieomstandigheden ervaren, zijn er minder variaties in de productkwaliteit.Dit is belangrijk in de farmaceutische industrie, waar strikte voorschriften consistente en hoogwaardige geneesmiddelenproductie vereisen.Door de vorming van ongewenste bijproducten te verminderen, helpen PFR's ook de opbrengst te maximaliseren, zodat dure grondstoffen efficiënt worden gebruikt.PFRS verbeteren ook de farmaceutische productie door continue productie mogelijk te maken in plaats van batchverwerking.Dit vermindert de variabiliteit tussen verschillende productieruns en verhoogt de efficiëntie.De gestage stroom van reactanten in PFRS maakt ze ideaal voor het produceren van speciale geneesmiddelen die nauwkeurige controle over reactietijden en omstandigheden vereisen.PFR's ondersteunen moderne productietechnieken zoals continue flow chemie, die bedrijven helpt afval te verlagen en de kosten te verlagen en tegelijkertijd aan strikte kwaliteits- en veiligheidsnormen te voldoen.Vanwege deze voordelen zijn PFR's een belangrijke technologie in de farmaceutische productie.
Plugstroomreactoren (PFR's) zijn zeer effectief in katalytische reacties, waarbij reactanten zelfs contact moeten hebben met katalysatoren voor de beste resultaten.Hun gestage stroom zorgt ervoor dat reactanten uniform over katalytische oppervlakken passeren, waardoor de reactiesnelheid en efficiëntie worden verbeterd.Dit is nuttig in industriële processen zoals hydrogenering en oxidatie, waarbij precieze reactiecontrole leidt tot hogere opbrengsten.Omdat PFR's stabiele omstandigheden handhaven, gaan katalysatoren langer mee, waardoor de kosten worden verlaagd en de algehele prestaties worden verbeterd.Door ongelijke meng te voorkomen, verminderen PFR's ook ongewenste zijreacties, waardoor ze een voorkeurskeuze zijn voor industrieën die afhankelijk zijn van katalytische processen.PFR's verbeteren ook grootschalige katalytische productie door de reactieomstandigheden te optimaliseren en afval te verminderen.Hun ontwerp zorgt voor een betere temperatuur- en drukregeling, wat leidt tot efficiënter gebruik van katalysatoren.Dit is belangrijk voor industrieën zoals petrochemicaliën, farmaceutische producten en fijne chemicaliën, waar zelfs kleine verbeteringen in efficiëntie de kosten en productkwaliteit kunnen beïnvloeden.Vanwege hun vermogen om de katalysatorprestaties te maximaliseren en tegelijkertijd afval- en energieverbruik te minimaliseren, spelen PFR's een rol bij industriële katalytische reacties.
Plugstroomreactoren (PFR's) zijn belangrijk bij de bescherming van het milieu, vooral voor het verminderen van vervuiling en de behandeling van industrieel afval.Ze worden vaak gebruikt bij de behandeling van rookgas, waar schadelijke emissies zoals zwaveldioxide en stikstofoxiden worden omgezet in veiliger verbindingen.PFRS speelt ook een rol bij de behandeling van afvalwater door gevaarlijke chemicaliën af te breken in minder schadelijke bijproducten.Hun continue stroomontwerp zorgt voor efficiënte verwijdering van verontreinigende stoffen, waardoor de industrieën worden geholpen aan de milieuvoorschriften te voldoen en tegelijkertijd de operationele kosten te verlagen.Naast vervuilingscontrole ondersteunen PFR's duurzaamheid door de energie -efficiëntie te verbeteren en afval te verminderen.Hun vermogen om grote hoeveelheden industrieel afval continu te verwerken, maakt ze continu een betrouwbare oplossing voor grootschalig milieubeheer.Door PFR -technologie op te nemen, kunnen industrieën hun impact op het milieu verminderen met behoud van een efficiënte productie.Naarmate de bezorgdheid over vervuiling en klimaatverandering groeit, worden PFR's een steeds waardevoller hulpmiddel voor industrieën die op zoek zijn naar schonere en duurzamere productieoplossingen.
PFR's kunnen zowel heterogene als homogene reacties aan, waardoor ze zeer veelzijdig zijn in chemische synthese.Ze zijn nuttig voor complexe organische syntheses die precieze thermische controle en materiaalbehandeling vereisen. In heterogene reacties zorgt het uniforme stroompatroon voor zelfs contact tussen reactanten en vaste katalysatoren, waardoor de conversiesnelheden en productselectiviteit worden gemaximaliseerd.Bij homogene reacties behouden de consistente verblijftijden een gestage reactiekinetiek, het verbeteren van de opbrengst en productkwaliteit.Dit aanpassingsvermogen maakt PFR's geschikt voor een breed scala aan chemische processen, van basisproductenchemicaliën tot complexe fijne chemicaliën en geneesmiddelen.Hun precieze controle over reactieomstandigheden maakt de synthese van hoog-zuivere producten met minimale bijproducten mogelijk.
PFR's worden gebruikt bij het produceren van fijne chemicaliën, waar hoge zuiverheid en specifieke reactieroutes vereist zijn.Ze bieden precieze controle over temperatuur, druk en verblijftijd, waardoor consistente productkwaliteit en opbrengst worden gewaarborgd.Deze precisie is geweldig in de productie van kleurstoffen, geuren, speciale coatings en andere fijne chemicaliën die strikte kwaliteitsnormen vereisen.PFR's minimaliseren de vorming van bijproduct en verbeteren de reactieselectiviteit, optimaliseert het gebruik van grondstof en het verminderen van afval.Hun schaalbaarheid stelt ook fijne chemische fabrikanten in staat om efficiënt over te schakelen van kleinschalige laboratoriumsynthese naar volledige industriële productie met behoud van productconsistentie.
Plugstroomreactoren zijn super nuttig voor het beheren van chemische reacties met precisie.Ze werken door alles in één richting te houden, wat helpt meer product uit dezelfde hoeveelheid chemicaliën te halen en dingen veilig en consistent te houden.Ze zijn vooral goed voor grote industriële banen waar u veel product moet maken zonder materialen of energie te verspillen.Ze zijn echter niet perfect voor elke situatie, soms mixen ze niet goed genoeg voor bepaalde reacties, en ze kunnen gevoelig zijn voor veranderingen in de materialen die ze gebruiken.Maar over het algemeen zijn PFR's een go-to-keuze voor veel productieprocessen omdat ze de efficiëntie in evenwicht brengen met effectiviteit, waardoor de industrieën soepel en economisch worden gehouden.
Stuur een aanvraag, we zullen onmiddellijk reageren.
Het principe van een plugstroomreactor (PFR) is dat de reactanten door een cilindrische pijp stromen op een manier waarop alle elementen van de vloeistof door de reactor met dezelfde snelheid bewegen, zonder menging in de stroomrichting.Dit resulteert in elk segment van de vloeistof die de reactor op verschillende tijdstippen binnenkomt en verlaat, in wezen een "plug" van vloeistof behouden die door de reactor beweegt.De concentratie en reactiesnelheid variëren langs de lengte van de reactor, maar zijn constant over elke dwarsdoorsnede loodrecht op de stroom.
Een belangrijk kenmerk van een plugstroomreactor is het vermogen om een gestage gradiënt van reactantconcentratie van de inlaat naar de uitlaat te behouden.Dit zorgt ervoor dat de reactie vordert als een reeks oneindig kleine batchreactoren die langs de lengte van de buis zijn gesequenced.Deze opstelling biedt precieze controle over reactietijden en omstandigheden, wat ideaal is voor reacties die gevoelig zijn voor verblijftijd.
Plugstroomreactoren (PFR's) worden veel gebruikt in industrieën waar precieze controle over reactietijden goed is voor efficiëntie en productkwaliteit.Bij de chemische productie zorgen PFR's voor de continue creatie van chemicaliën, waardoor uniforme productkenmerken worden gewaarborgd door stabiele stroom- en reactieomstandigheden.Ze zijn belangrijk in petrochemische processen, zoals koolwaterstofscheuren om ethyleen en andere olefines te produceren, waar exacte timing en temperaturen sleutel zijn om de opbrengsten te maximaliseren en bijproducten te verminderen.Bij farmaceutische productie zijn PFR's belangrijk voor de synthese van geneesmiddelen.De precieze controle die ze bieden over reactietijden en -aandoeningen helpt ervoor te zorgen dat geneesmiddelen puur zijn en voldoende opleveren, wat het beste is voor de veiligheid van de patiënt en de effectiviteit van het medicijn.PFR's worden ook gebruikt in waterbehandeling, met name bij de chlorering van water, om effectief te desinfecteren, terwijl de blootstelling aan chemische stof wordt geregeld en overtollig gebruik wordt geminimaliseerd.
Een plugstroomvergering werkt volgens het principe vergelijkbaar met een PFR, maar is specifiek ontworpen voor de anaërobe digestie van organische materialen.In deze opstelling wordt organisch afval continu ingevoerd in het ene uiteinde van een afgesloten, horizontale reactor.Terwijl het afval door de reactor beweegt, verteren micro -organismen de organische stof, waardoor biogas (methaan en koolstofdioxide) worden geproduceerd.De vergister handhaaft een uniforme stroom die het mengen voorkomt en zorgt ervoor dat elk afvalsegment een consistente retentietijd heeft, de gasproductie optimaliseert en onverteerd afval wordt geminimaliseerd.
Het gebruik van een plugstroomreactor (PFR) verbetert de chemische processen door een hoge conversie -efficiëntie te bieden, wat betekent dat het alle reactanten effectief gebruikt om de output te maximaliseren.PFR's handhaven precieze temperatuurregeling, verhoogde reactiesnelheden en opbrengsten.Ze zijn schaalbaar, waardoor een gemakkelijke overgang van kleinschalige laboratoriumopstellingen naar grootschalige industriële productie mogelijk is zonder de proceskwaliteit te beïnvloeden.PFR's voorkomen rugmixing, behoefte aan processen die opeenvolgende reacties vereisen zonder interferentie.Ze versnellen de productie door reactanten continu te laten bewegen naar voltooiing, waardoor de totale reactietijd wordt verkort en de kosten verlagt.
Op 2025/03/4
Op 2025/03/3
Op 8000/04/18 147757
Op 2000/04/18 111936
Op 1600/04/18 111349
Op 0400/04/18 83721
Op 1970/01/1 79508
Op 1970/01/1 66907
Op 1970/01/1 63039
Op 1970/01/1 63012
Op 1970/01/1 54081
Op 1970/01/1 52125